Постановление Правительства Новгородской области от 09.02.2018 № 48
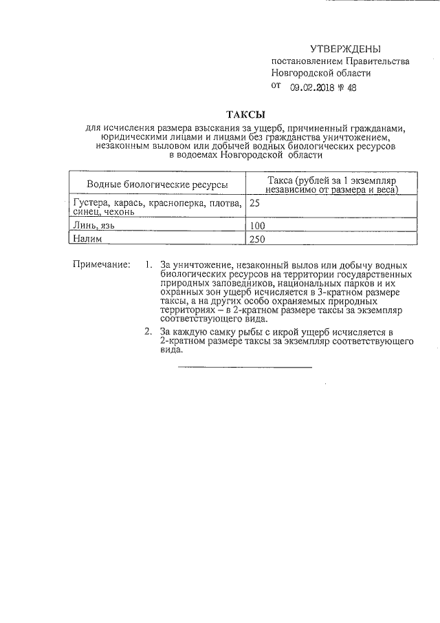
"Об утверждении такс для исчисления размера взыскания за ущерб, причиненный водным биологическим ресурсам"
"Об утверждении такс для исчисления размера взыскания за ущерб, причиненный водным биологическим ресурсам"
Номер опубликования: 5300201802150012
Дата опубликования:
15.02.2018
