Официальное опубликование правовых актов
ОФИЦИАЛЬНОЕ ОПУБЛИКОВАНИЕ
Постановление Правительства Новгородской области от 28.11.2016 № 417
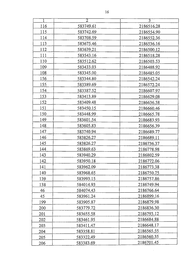
"Об утверждении границ объединенной зоны охраны объекта культурного наследия федерального значения "Хутынский Варлаамов монастырь (руины), XVI в." и объекта культурного наследия регионального значения "Лисицкий монастырь, вторая половина XIV (?) – вторая половина XVIII века (следы)", расположенных на территории Савинского сельского поселения Новгородского муниципального района Новгородской области, режимов использования земель и требований к градостроительным регламентам в границах данной зоны"
Номер опубликования: 5300201612020001
Дата опубликования: 02.12.2016
Страница №18 из 81:
Увеличить