Официальное опубликование правовых актов
ОФИЦИАЛЬНОЕ ОПУБЛИКОВАНИЕ
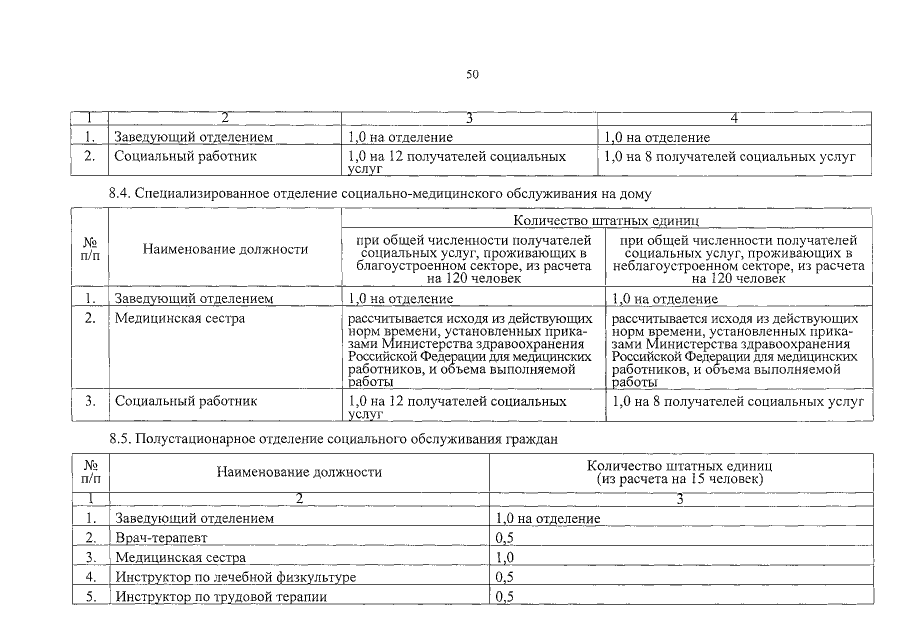
Распоряжение Правительства Новгородской области от 12.04.2016 № 93-рз
"Об утверждении нормативов штатной численности организаций социального обслуживания Новгородской области"
Номер опубликования: 5300201604130004
Дата опубликования: 13.04.2016
Страница №51 из 72:
Увеличить