Официальное опубликование правовых актов
ОФИЦИАЛЬНОЕ ОПУБЛИКОВАНИЕ
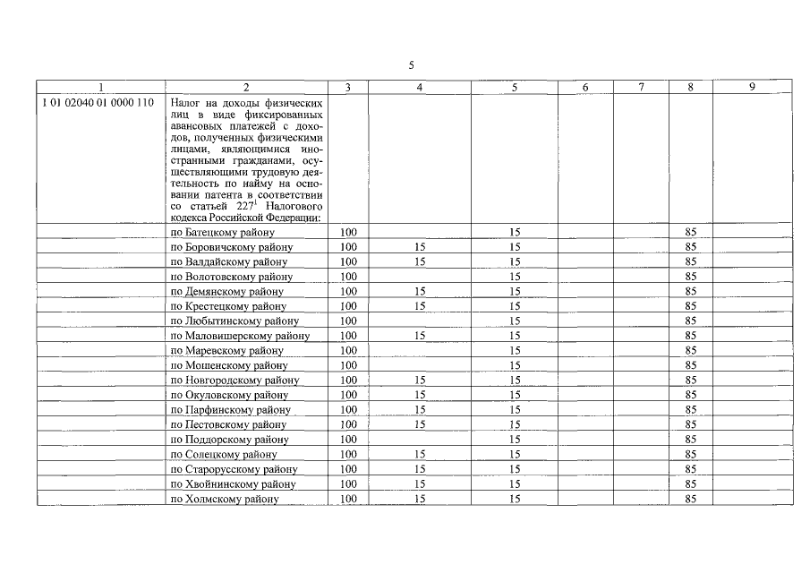
Областной закон Новгородской области от 28.12.2015 № 888-ОЗ
"Об областном бюджете на 2016 год"
Номер опубликования: 5300201512310007
Дата опубликования: 31.12.2015
Страница №42 из 432:
Увеличить