Официальное опубликование правовых актов
ОФИЦИАЛЬНОЕ ОПУБЛИКОВАНИЕ
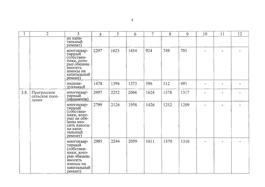
Постановление Правительства Новгородской области от 18.06.2015 № 272
"Об утверждении региональных стандартов стоимости жилищно-коммунальных услуг на 2015 год"
Номер опубликования: 5300201506230001
Дата опубликования: 23.06.2015
Страница №10 из 84:
Увеличить