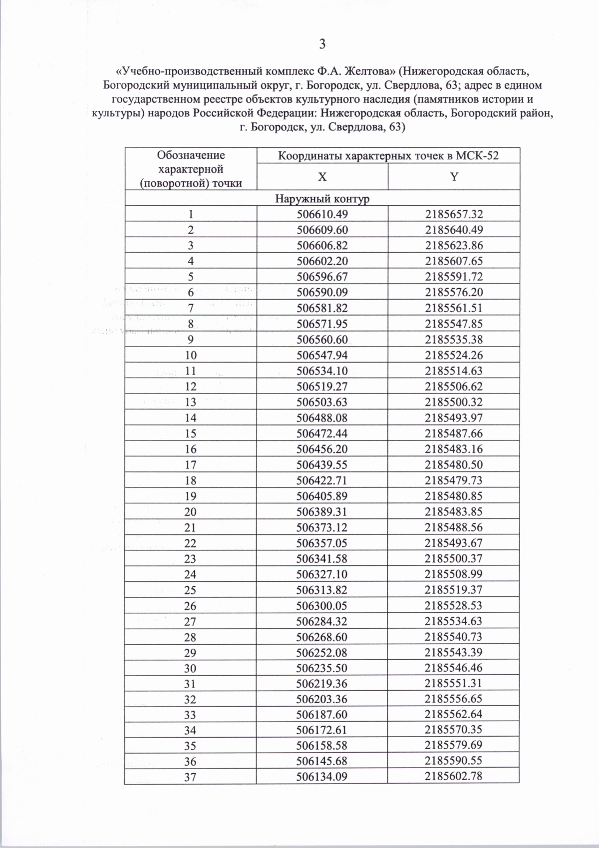
Приказ Управления государственной охраны объектов культурного наследия Нижегородской области от 29.10.2025 № 296
"О внесении изменений в приказ управления государственной охраны объектов культурного наследия Нижегородской области от 30.07.2019 № 216"
(Зарегистрирован 27.11.2025 № 29012-518-296)
"О внесении изменений в приказ управления государственной охраны объектов культурного наследия Нижегородской области от 30.07.2019 № 216"
(Зарегистрирован 27.11.2025 № 29012-518-296)
Номер опубликования: 5201202511280002
Дата опубликования:
28.11.2025
