Официальное опубликование правовых актов
ОФИЦИАЛЬНОЕ ОПУБЛИКОВАНИЕ
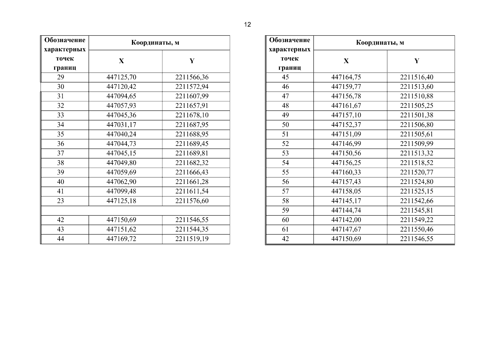
Приказ Министерства градостроительной деятельности и развития агломераций Нижегородской области от 02.09.2025 № 06-01-03/34
"Об утверждении документации по планировке территории на участке автомобильной дороги (22 ОП МЗ 22Н-0223) а/д Вол.Майдан - Чернуха - Наумовка на км 1+015 в городском округе город Арзамас Нижегородской области"
(Зарегистрирован 16.09.2025 № 28681-330-006-01-03/34)
Номер опубликования: 5201202509170001
Дата опубликования: 17.09.2025
Страница №14 из 46:
Увеличить