Официальное опубликование правовых актов
ОФИЦИАЛЬНОЕ ОПУБЛИКОВАНИЕ
Приказ Министерства градостроительной деятельности и развития агломераций Нижегородской области от 28.08.2025 № 06-01-03/33
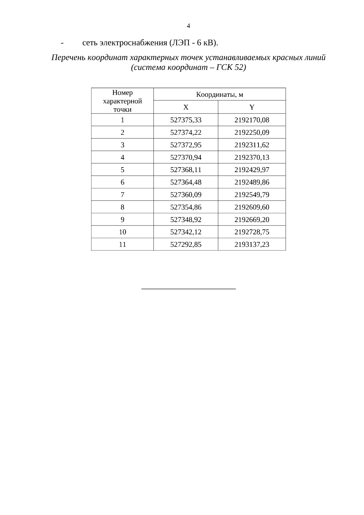
"Об утверждении проекта планировки территории, расположенной юго-восточнее здания 5Г по Игумновскому шоссе в городском округе город Дзержинск Нижегородской области"
(Зарегистрирован 08.09.2025 № 28625-330-006-01-03/33)
Номер опубликования: 5201202509100014
Дата опубликования: 10.09.2025
Страница №6 из 6:
Увеличить