Официальное опубликование правовых актов
ОФИЦИАЛЬНОЕ ОПУБЛИКОВАНИЕ
Приказ Министерства градостроительной деятельности и развития агломераций Нижегородской области от 22.07.2025 № 06-01-03/26
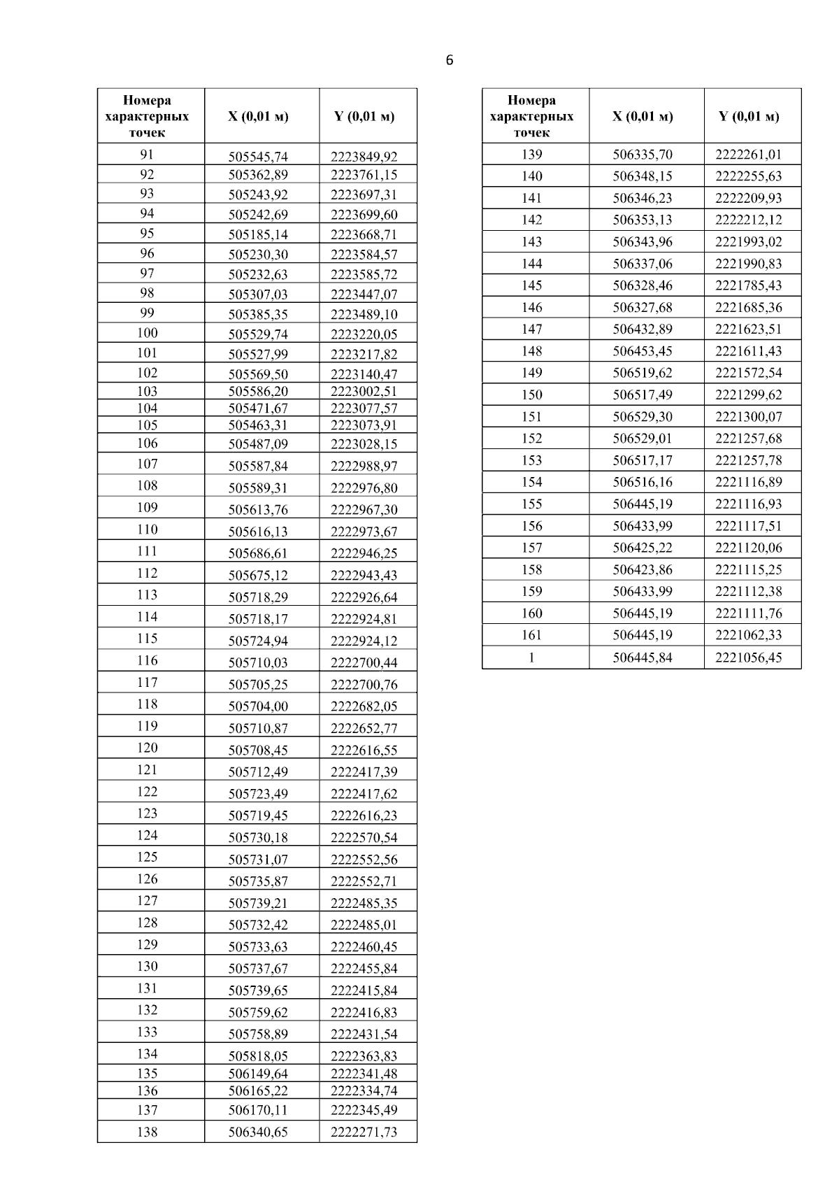
"Об утверждении документации по планировке территории (проект планировки территории) по объекту: "Сооружение (газопровод, состоящий из участков №№1-42, 45-49, 98, 149- 150, 225-339, 341-366, 376, 378-385, 647-679, 681- 689, 691-695, 696, 698, 699-722, 724, 730-736, 739- 741, 743-760, 762-768, 771, 773-787, 789-790, 792-803, 807-819, 821-850, 1043, 1047, 1050-1053, 1055-1061, 1 ШРП и 12 ГРП), протяженностью 180598,6 п.м. Адрес (местоположение) Нижегородская область, город Кстово, село Великий Враг, село Караулово, село Мокрое, деревня Подвалиха" инв. № OS_0023995 (код стройки П23995-21)"
(Зарегистрирован 28.08.2025 № 28599-330-006-01-03/26)
Номер опубликования: 5201202509010001
Дата опубликования: 01.09.2025
Страница №8 из 25:
Увеличить