Официальное опубликование правовых актов
ОФИЦИАЛЬНОЕ ОПУБЛИКОВАНИЕ
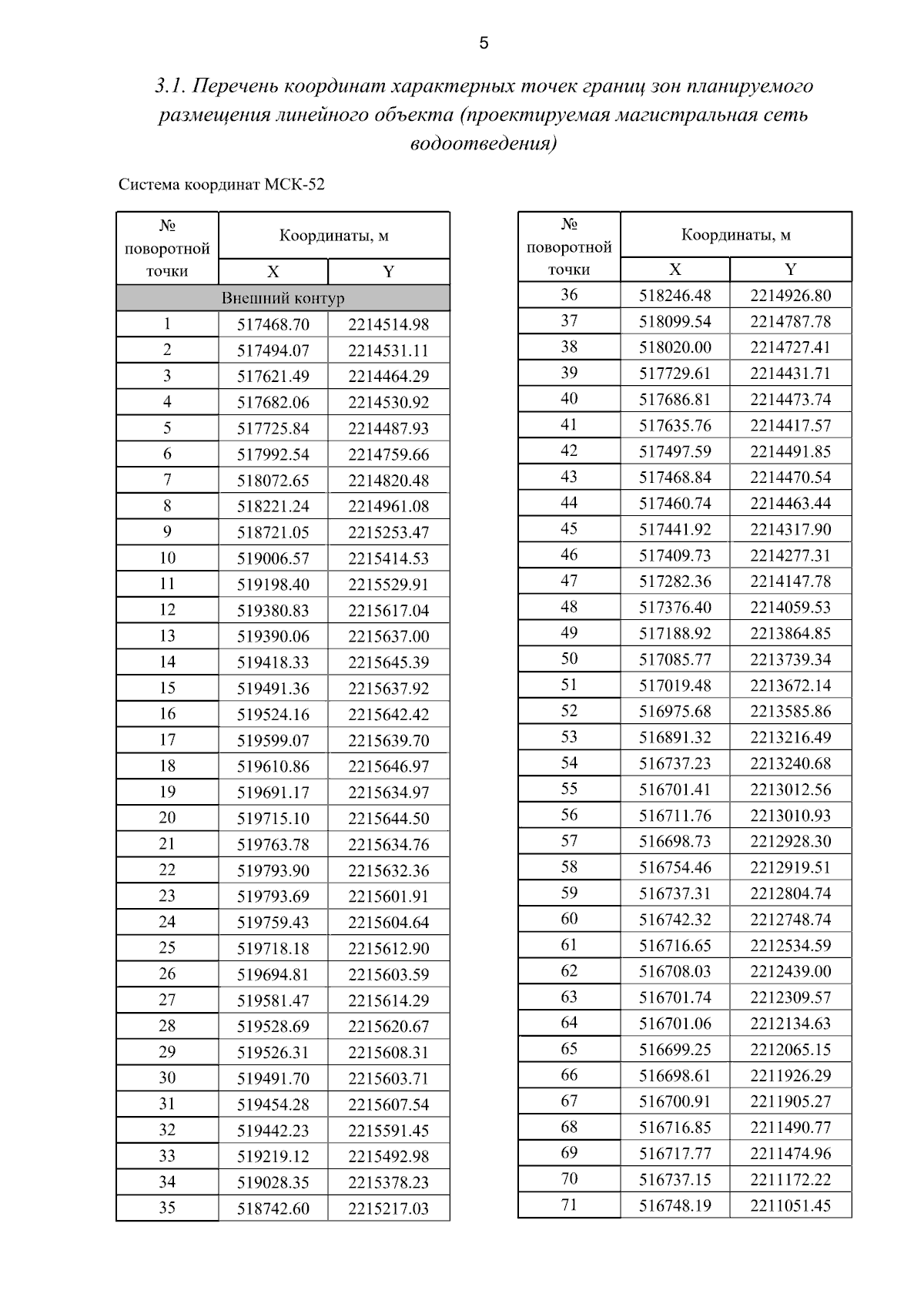
Приказ Министерства градостроительной деятельности и развития агломераций Нижегородской области от 22.07.2025 № 06-01-03/27
"Об утверждении документации по внесению изменений в документацию по планировке (проект планировки и межевания) территории, расположенной в г.о.г. Нижний Новгород (в районе п. Новинки, д. Бешенцево, СНТ "Расцвет") и Кстовском муниципальном округе Нижегородской области"
(Зарегистрирован 27.08.2025 № 28595-330-006-01-03/27)
Номер опубликования: 5201202508290003
Дата опубликования: 29.08.2025
Страница №7 из 27:
Увеличить