Официальное опубликование правовых актов
ОФИЦИАЛЬНОЕ ОПУБЛИКОВАНИЕ
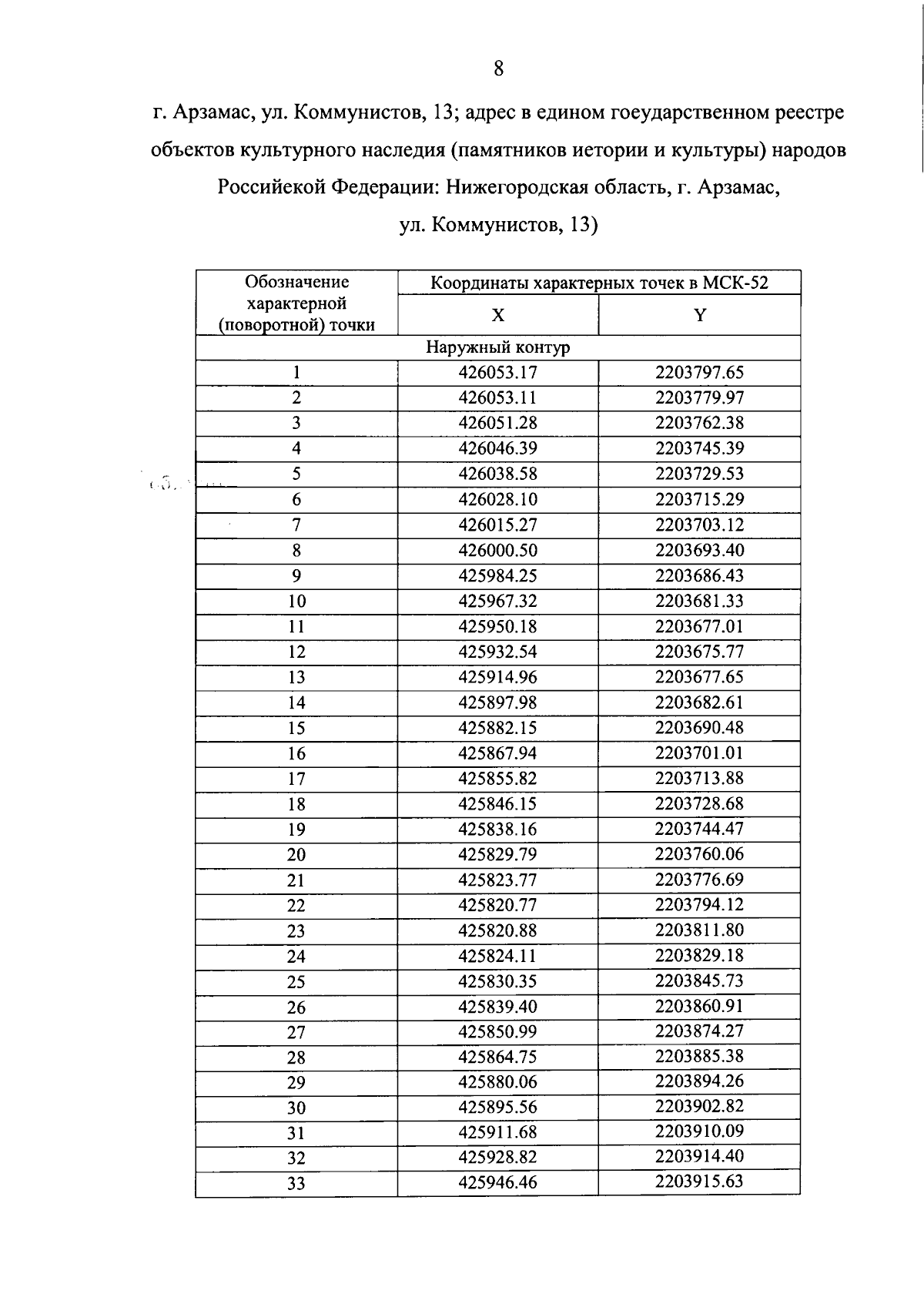
Приказ Управления государственной охраны объектов культурного наследия Нижегородской области от 03.04.2025 № 61
"О внесении изменений в приказ управления государственной охраны объектов культурного наследия Нижегородской области от 13.11.2020 № 358"
(Зарегистрирован 16.04.2025 № 27996-518-061)
Номер опубликования: 5201202504210008
Дата опубликования: 21.04.2025
Страница №9 из 10:
Увеличить