Официальное опубликование правовых актов
ОФИЦИАЛЬНОЕ ОПУБЛИКОВАНИЕ
Приказ Министерства градостроительной деятельности и развития агломераций Нижегородской области от 19.02.2025 № 06-01-03/10
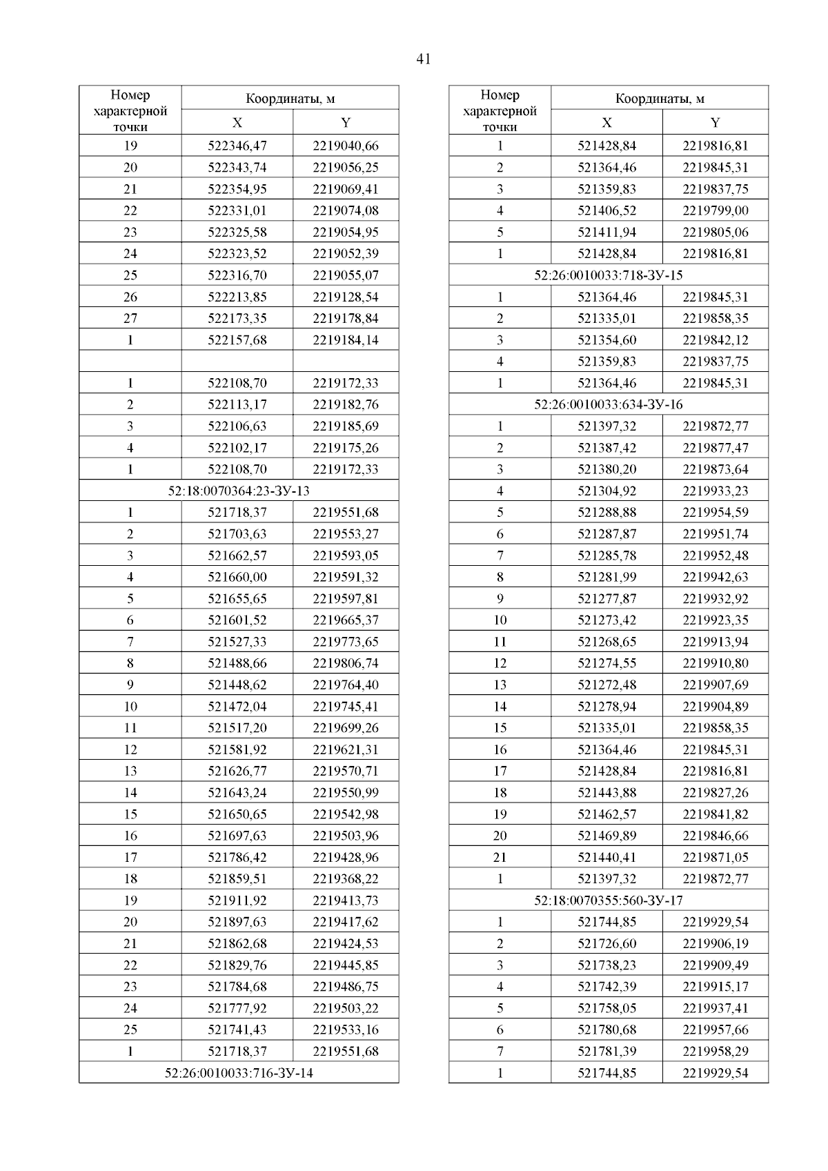
"Об утверждении документации по планировке (проект планировки и межевания) территории, расположенной от ул. Новокузнечихинская в Советском районе города Нижнего Новгорода до пересечения с автомобильной дорогой 22 ОП МЗ 22Н-2660 Подъезд к д. Анкудиновка, от а/д Восточный подъезд к г. Н.Новгород в Кстовском муниципальном округе Нижегородской области"
(Зарегистрирован 17.03.2025 № 27799-330-006-01-03/10)
Номер опубликования: 5201202503190006
Дата опубликования: 19.03.2025
Страница №43 из 49:
Увеличить