Официальное опубликование правовых актов
ОФИЦИАЛЬНОЕ ОПУБЛИКОВАНИЕ
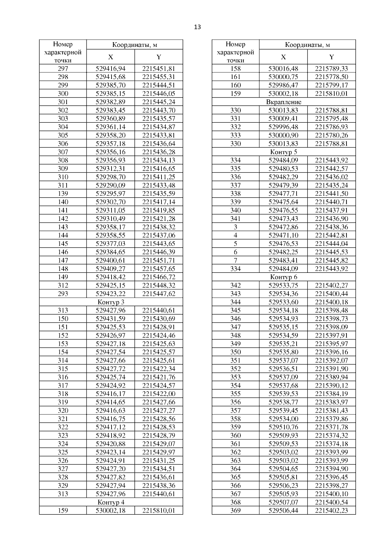
Приказ Министерства градостроительной деятельности и развития агломераций Нижегородской области от 29.01.2025 № 06-01-03/3
"Об утверждении документации по внесению изменений в документацию по планировке территории, расположенной в границах Зеленского съезда, улиц Грузинской, М.Покровской, Ильинской, переулка Плотничного и улицы Почаинской в Нижегородском районе города Нижнего Новгорода"
(Зарегистрирован 20.02.2025 № 27654-330-006-01-03/3)
Номер опубликования: 5201202502210003
Дата опубликования: 21.02.2025
Страница №15 из 58:
Увеличить