Официальное опубликование правовых актов
ОФИЦИАЛЬНОЕ ОПУБЛИКОВАНИЕ
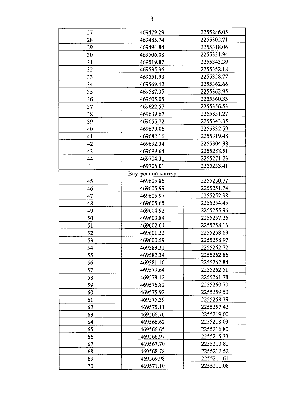
Приказ Управления государственной охраны объектов культурного наследия Нижегородской области от 17.01.2025 № 4
"О внесении изменений в приказ управления государственной охраны объектов культурного наследия Нижегородской области от 04.12.2020 № 379"
(Зарегистрирован 13.02.2025 № 27610-518-004)
Номер опубликования: 5201202502140003
Дата опубликования: 14.02.2025
Страница №5 из 6:
Увеличить