Официальное опубликование правовых актов
ОФИЦИАЛЬНОЕ ОПУБЛИКОВАНИЕ
Приказ Управления государственной охраны объектов культурного наследия Нижегородской области от 04.12.2024 № 263
"О внесении изменений в приказ управления государственной охраны объектов культурного наследия Нижегородской области от 28.10.2020 № 334"
(Зарегистрирован 23.01.2025 № 27460-518-263)
Номер опубликования: 5201202501240002
Дата опубликования: 24.01.2025
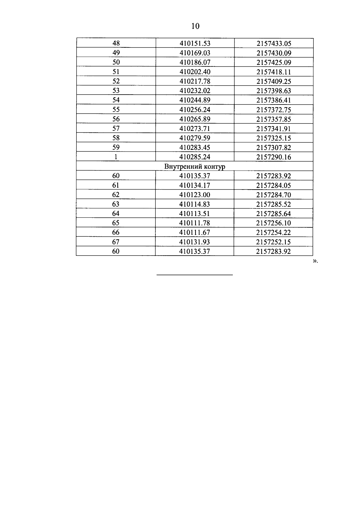
Страница №12 из 12:
Увеличить