Официальное опубликование правовых актов
ОФИЦИАЛЬНОЕ ОПУБЛИКОВАНИЕ
Приказ Управления государственной охраны объектов культурного наследия Нижегородской области от 23.12.2024 № 290
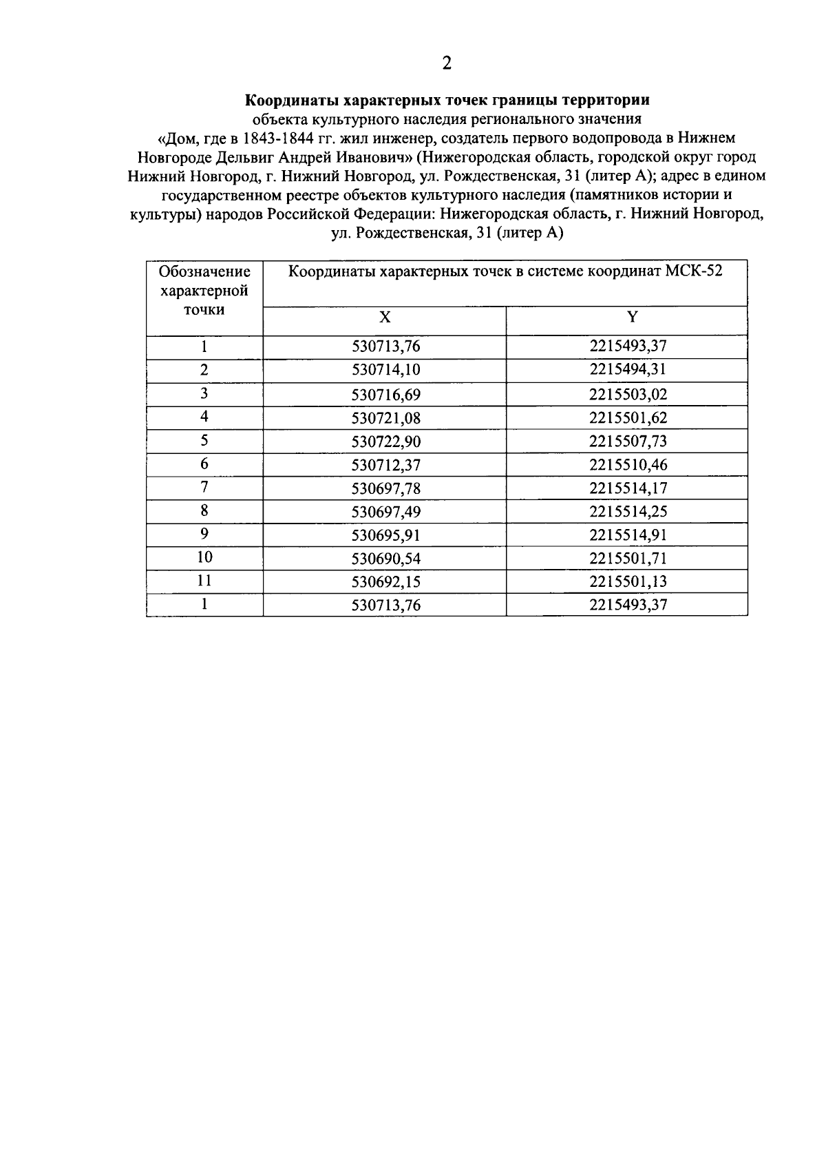
"Об утверждении границы и режима использования территории объекта культурного наследия регионального значения "Дом, где в 1843-1844 гг. жил инженер, создатель первого водопровода в Нижнем Новгороде Дельвиг Андрей Иванович" (Нижегородская область, городской округ город Нижний Новгород, г. Нижний Новгород, ул. Рождественская, 31 (литер А)"
(Зарегистрирован 20.01.2025 № 27431-518-290)
Номер опубликования: 5201202501230018
Дата опубликования: 23.01.2025
Страница №4 из 6:
Увеличить