Официальное опубликование правовых актов
ОФИЦИАЛЬНОЕ ОПУБЛИКОВАНИЕ
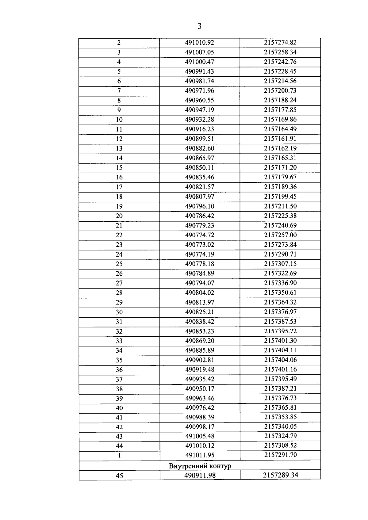
Приказ Управления государственной охраны объектов культурного наследия Нижегородской области от 11.11.2024 № 244
"О внесении изменений в приказ управления государственной охраны объектов культурного наследия Нижегородской области от 29.10.2019 № 320"
(Зарегистрирован 26.11.2024 № 26740-518-244)
Номер опубликования: 5201202411280007
Дата опубликования: 28.11.2024
Страница №4 из 8:
Увеличить