Приказ Управления государственной охраны объектов культурного наследия Нижегородской области от 17.10.2024 № 225
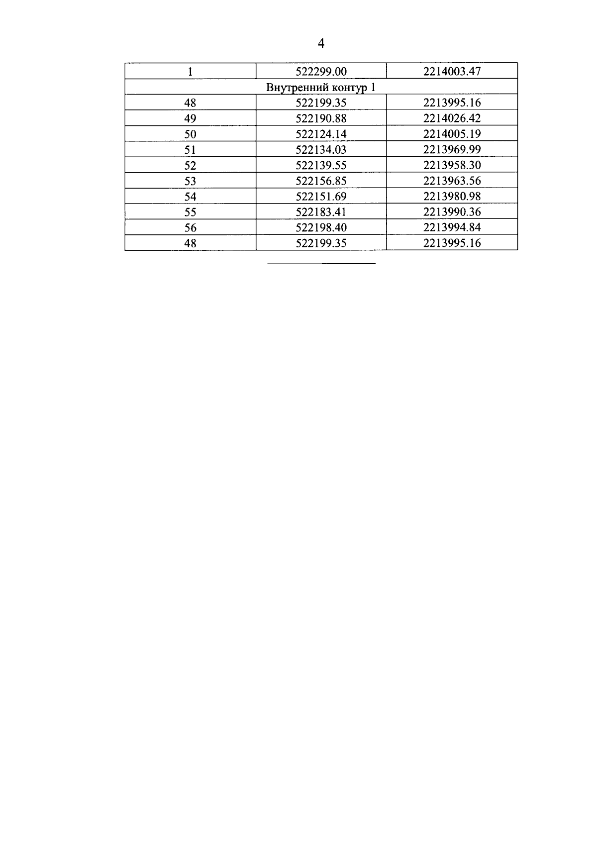
"Об утверждении описания местоположения границы защитной зоны объекта культурного наследия регионального значения "Административное здание телефонного завода товарищества "Сименс и Гальске" (Нижегородская область, городской округ город Нижний Новгород, г. Нижний Новгород, Гагарина пр., 39 (литера А), режима использования земель в границе защитной зоны объекта культурного наследия"
(Зарегистрирован 06.11.2024 № 26599-518-225)
"Об утверждении описания местоположения границы защитной зоны объекта культурного наследия регионального значения "Административное здание телефонного завода товарищества "Сименс и Гальске" (Нижегородская область, городской округ город Нижний Новгород, г. Нижний Новгород, Гагарина пр., 39 (литера А), режима использования земель в границе защитной зоны объекта культурного наследия"
(Зарегистрирован 06.11.2024 № 26599-518-225)
Номер опубликования: 5201202411080002
Дата опубликования:
08.11.2024
