Приказ Управления государственной охраны объектов культурного наследия Нижегородской области от 27.09.2024 № 212
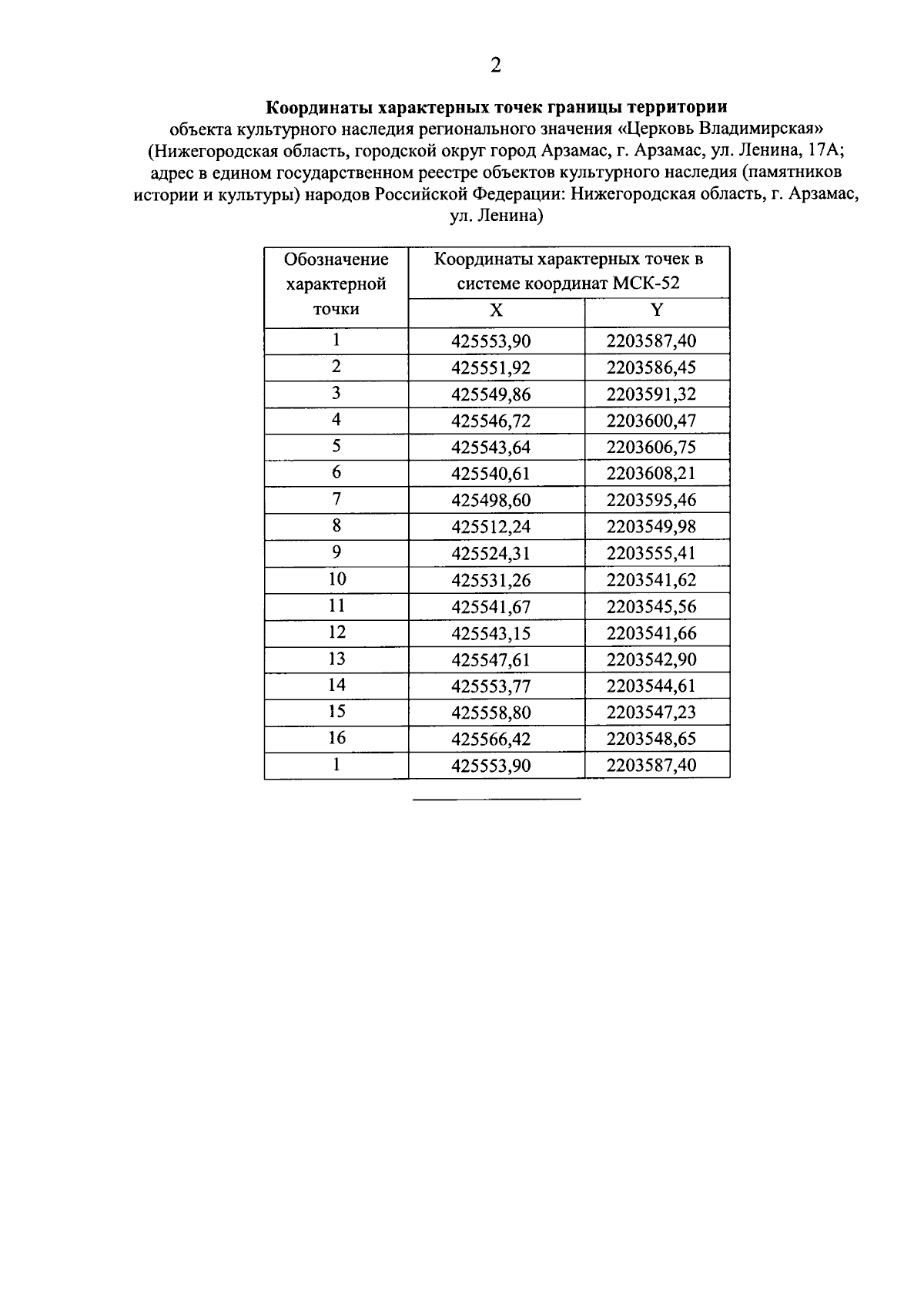
"Об утверждении границы и режима использования территории объекта культурного наследия регионального значения "Церковь Владимирская" (Нижегородская область, городской округ город Арзамас, г. Арзамас, ул. Ленина, 17А)"
(Зарегистрирован 21.10.2024 № 26464-518-212)
"Об утверждении границы и режима использования территории объекта культурного наследия регионального значения "Церковь Владимирская" (Нижегородская область, городской округ город Арзамас, г. Арзамас, ул. Ленина, 17А)"
(Зарегистрирован 21.10.2024 № 26464-518-212)
Номер опубликования: 5201202410250003
Дата опубликования:
25.10.2024
