Официальное опубликование правовых актов
ОФИЦИАЛЬНОЕ ОПУБЛИКОВАНИЕ
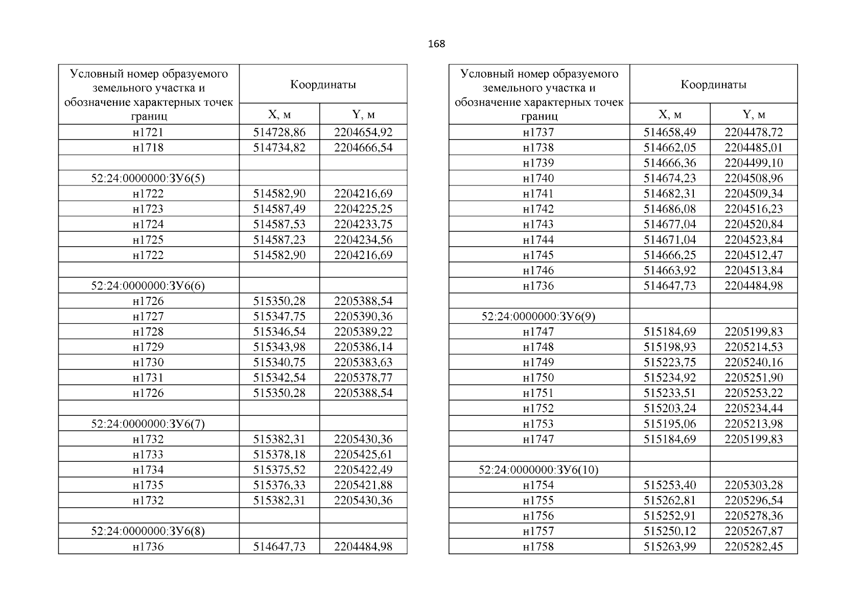
Приказ Министерства градостроительной деятельности и развития агломераций Нижегородской области от 30.08.2024 № 06-01-03/36
"Об утверждении документации по планировке территории (проект планировки и межевания территории), расположенной от п. Окский в Богородском муниципальном округе до д. Сартаково в Новинском сельсовете г.о.г. Нижний Новгород"
(Зарегистрирован 12.09.2024 № 26304-330-006-01-03/36)
Номер опубликования: 5201202409130008
Дата опубликования: 13.09.2024
Страница №170 из 186:
Увеличить