Официальное опубликование правовых актов
ОФИЦИАЛЬНОЕ ОПУБЛИКОВАНИЕ
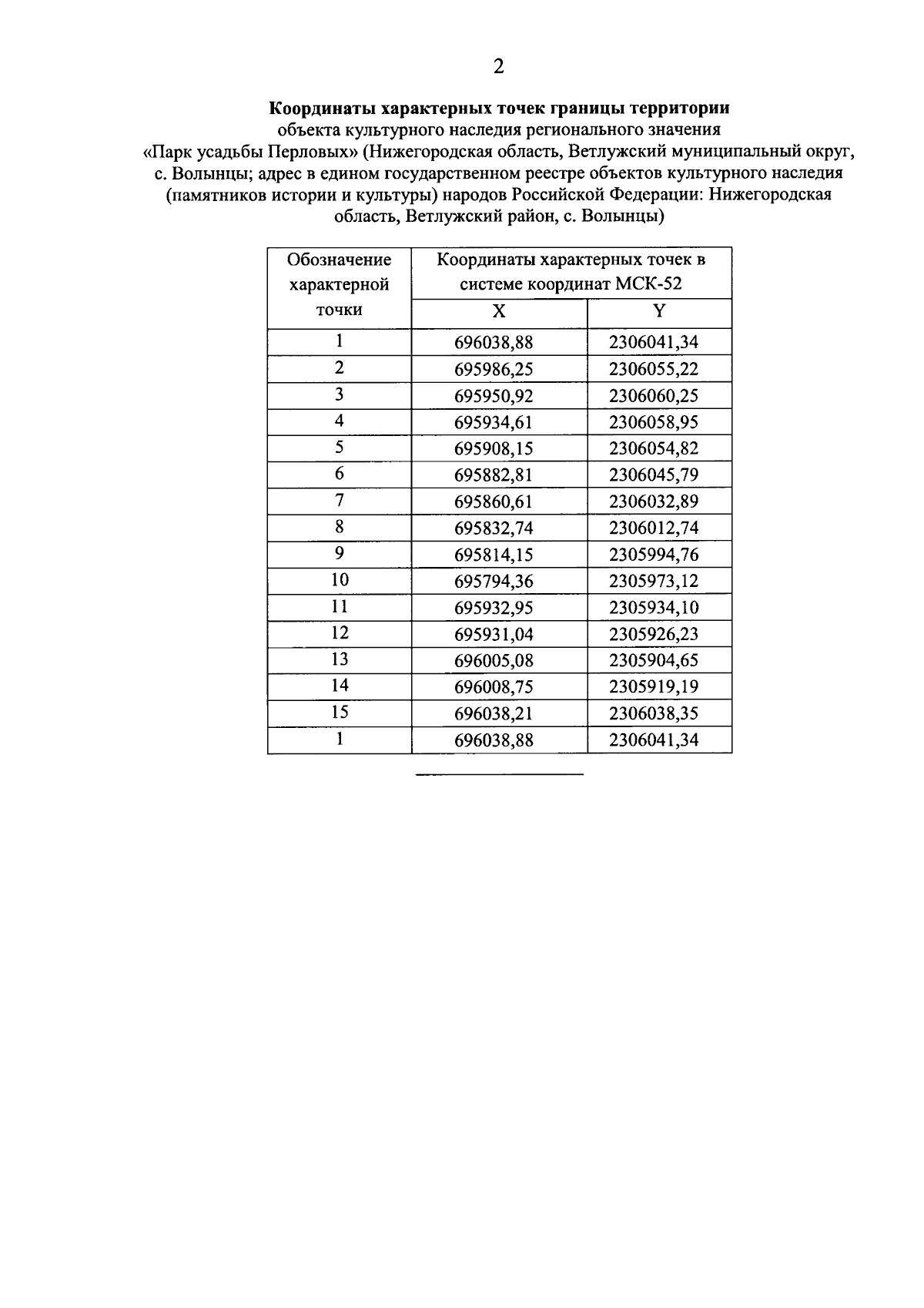
Приказ Управления государственной охраны объектов культурного наследия Нижегородской области от 30.08.2024 № 198
"Об утверждении границы и режима использования территории объекта культурного наследия регионального значения "Парк усадьбы Перловых" (Нижегородская область, Ветлужский муниципальный округ, с. Волынцы)"
(Зарегистрирован 12.09.2024 № 26300-518-198)
Номер опубликования: 5201202409130003
Дата опубликования: 13.09.2024
Страница №4 из 7:
Увеличить