Официальное опубликование правовых актов
ОФИЦИАЛЬНОЕ ОПУБЛИКОВАНИЕ
Приказ Управления государственной охраны объектов культурного наследия Нижегородской области от 17.06.2024 № 157
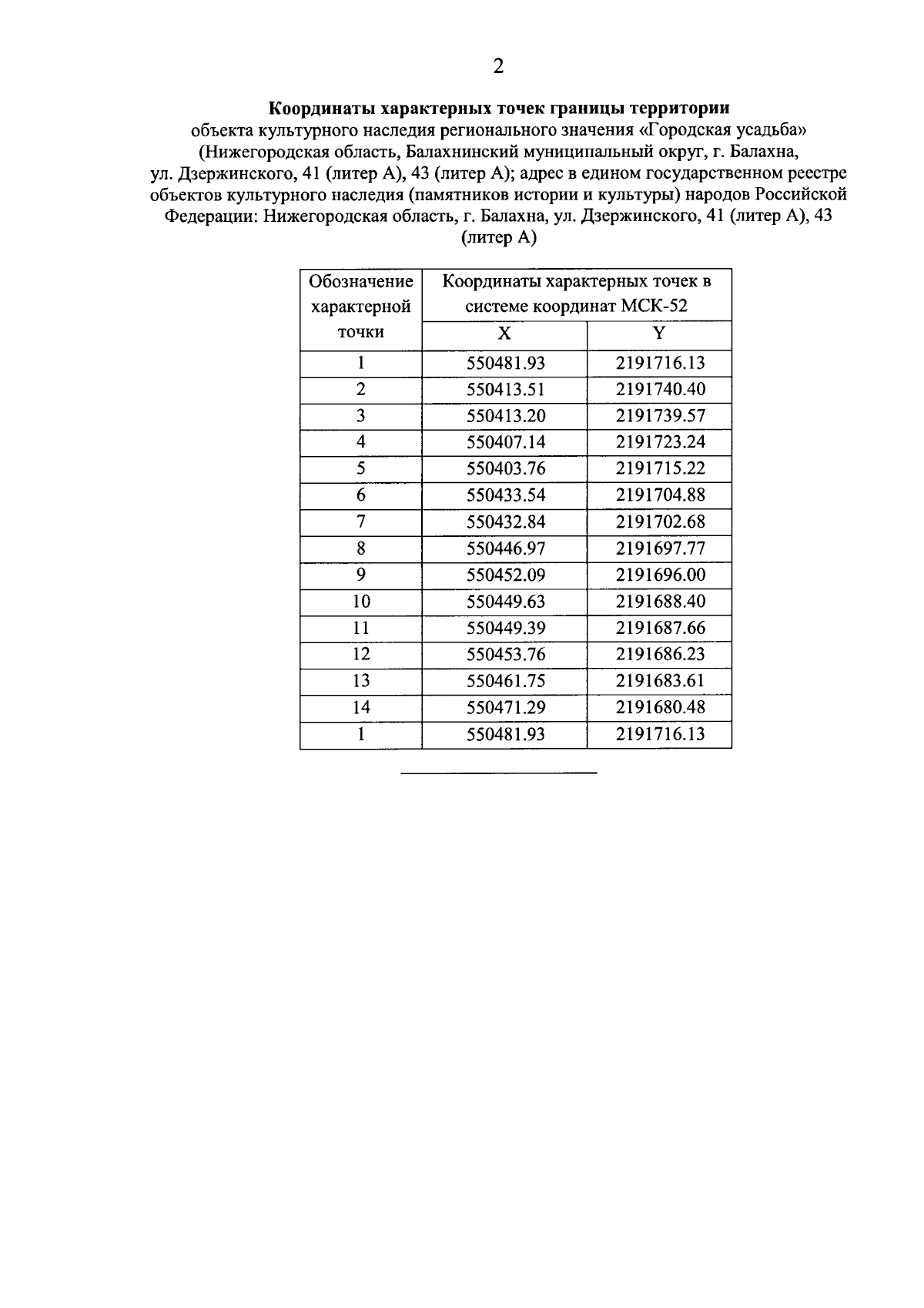
"Об утверждении границы и режима использования территории объекта культурного наследия регионального значения "Городская усадьба" (Нижегородская область, Балахнинский муниципальный округ, г. Балахна, ул. Дзержинского, 41 (литер А), 43 (литер А)"
(Зарегистрирован 15.07.2024 № 25912-518-157)
Номер опубликования: 5201202407180012
Дата опубликования: 18.07.2024
Страница №4 из 7:
Увеличить