Официальное опубликование правовых актов
ОФИЦИАЛЬНОЕ ОПУБЛИКОВАНИЕ
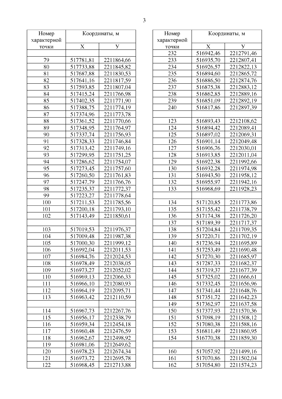
Приказ Министерства градостроительной деятельности и развития агломераций Нижегородской области от 19.06.2024 № 06-01-03/21
"Об утверждении документации по планировке (проект планировки и межевания) территории, расположенной в районе деревни Ольгино Приокского района городского округа город Нижний Новгород и в Кстовском муниципальном округе Нижегородской области"
(Зарегистрирован 08.07.2024 № 25847-330-006-01-03/21)
Номер опубликования: 5201202407110005
Дата опубликования: 11.07.2024
Страница №5 из 104:
Увеличить