Официальное опубликование правовых актов
ОФИЦИАЛЬНОЕ ОПУБЛИКОВАНИЕ
Приказ Министерства экологии и природных ресурсов Нижегородской области от 29.05.2024 № 319-122/24П/од
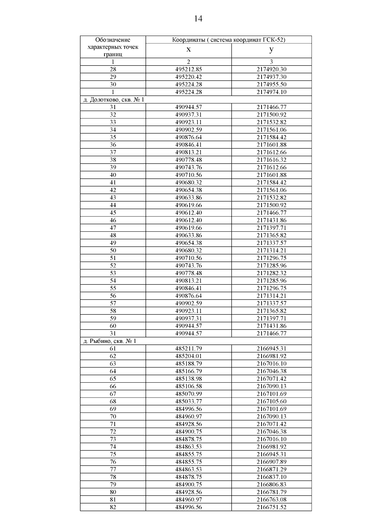
"Об установлении зон санитарной охраны водозаборных скважин МУП "Водоканал", расположенных в д. Чудиново, д. Долотково, д. Рыбино, д. Кишкино, с. Фроловское Павловского муниципального округа Нижегородской области"
(Зарегистрирован 24.06.2024 № 25760-319-319-122/24П/од)
Номер опубликования: 5201202406280016
Дата опубликования: 28.06.2024
Страница №16 из 18:
Увеличить