Официальное опубликование правовых актов
ОФИЦИАЛЬНОЕ ОПУБЛИКОВАНИЕ
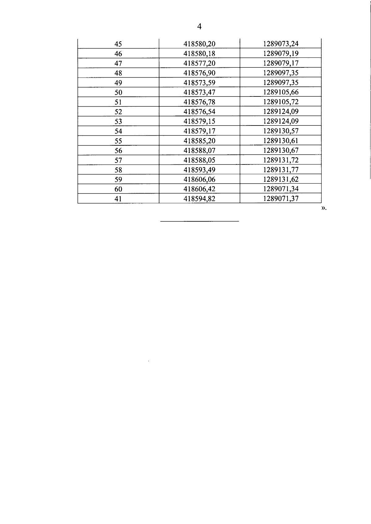
Приказ Управления государственной охраны объектов культурного наследия Нижегородской области от 23.05.2024 № 144
"О внесении изменений в приказ управления государственной охраны объектов культурного наследия Нижегородской области от 11.12.2020 № 387"
(Зарегистрирован 20.06.2024 № 25728-518-144)
Номер опубликования: 5201202406210002
Дата опубликования: 21.06.2024
Страница №6 из 6:
Увеличить