Официальное опубликование правовых актов
ОФИЦИАЛЬНОЕ ОПУБЛИКОВАНИЕ
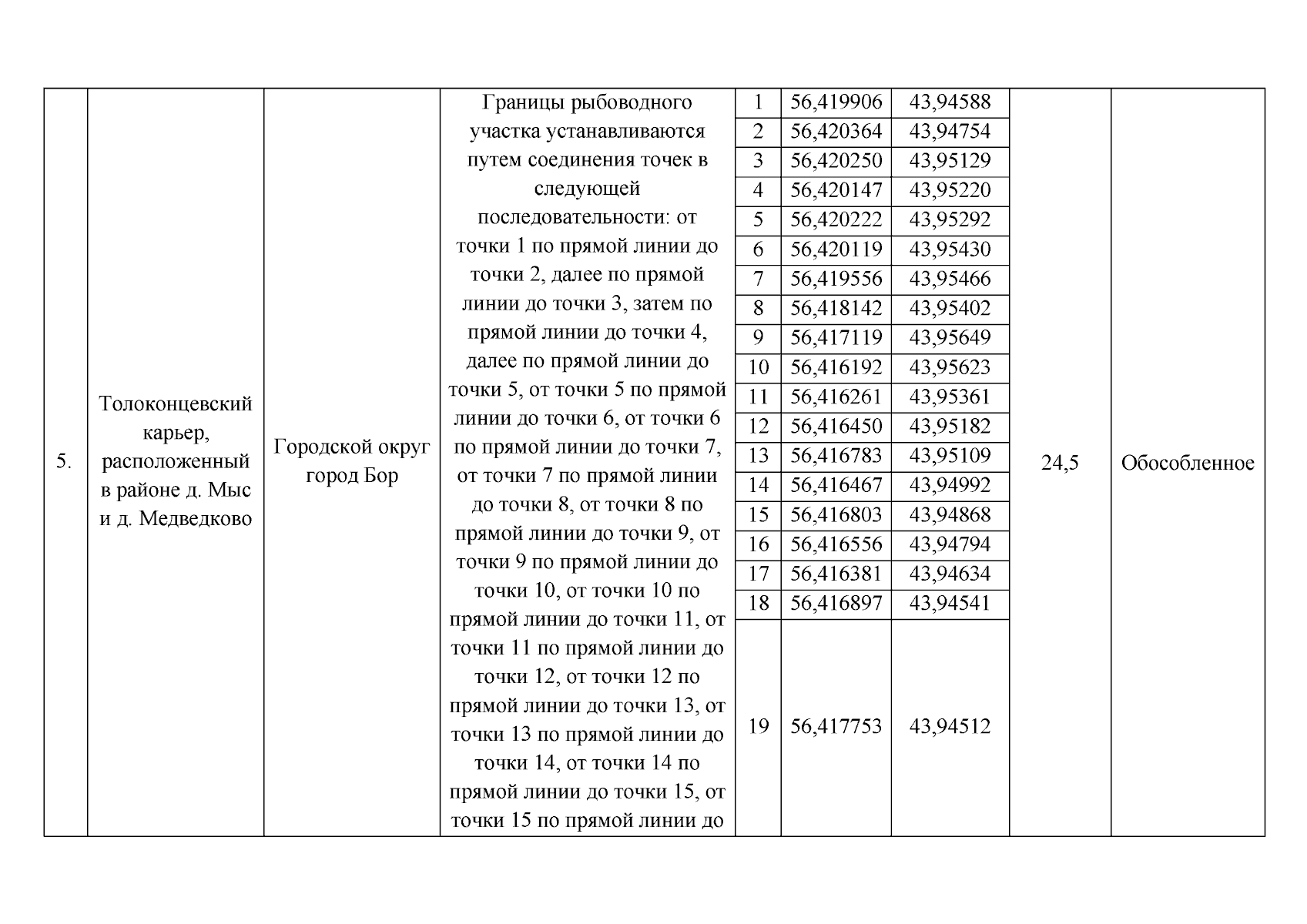
Приказ Министерства лесного хозяйства и охраны объектов животного мира Нижегородской области от 26.04.2024 № 385
"Об определении границ рыбоводных участков на территории Володарского муниципального округа и городского округа город Бор Нижегородской области"
(Зарегистрирован 03.06.2024 № 25644-331-385)
Номер опубликования: 5201202406060003
Дата опубликования: 06.06.2024
Страница №3 из 10:
Увеличить