Официальное опубликование правовых актов
ОФИЦИАЛЬНОЕ ОПУБЛИКОВАНИЕ
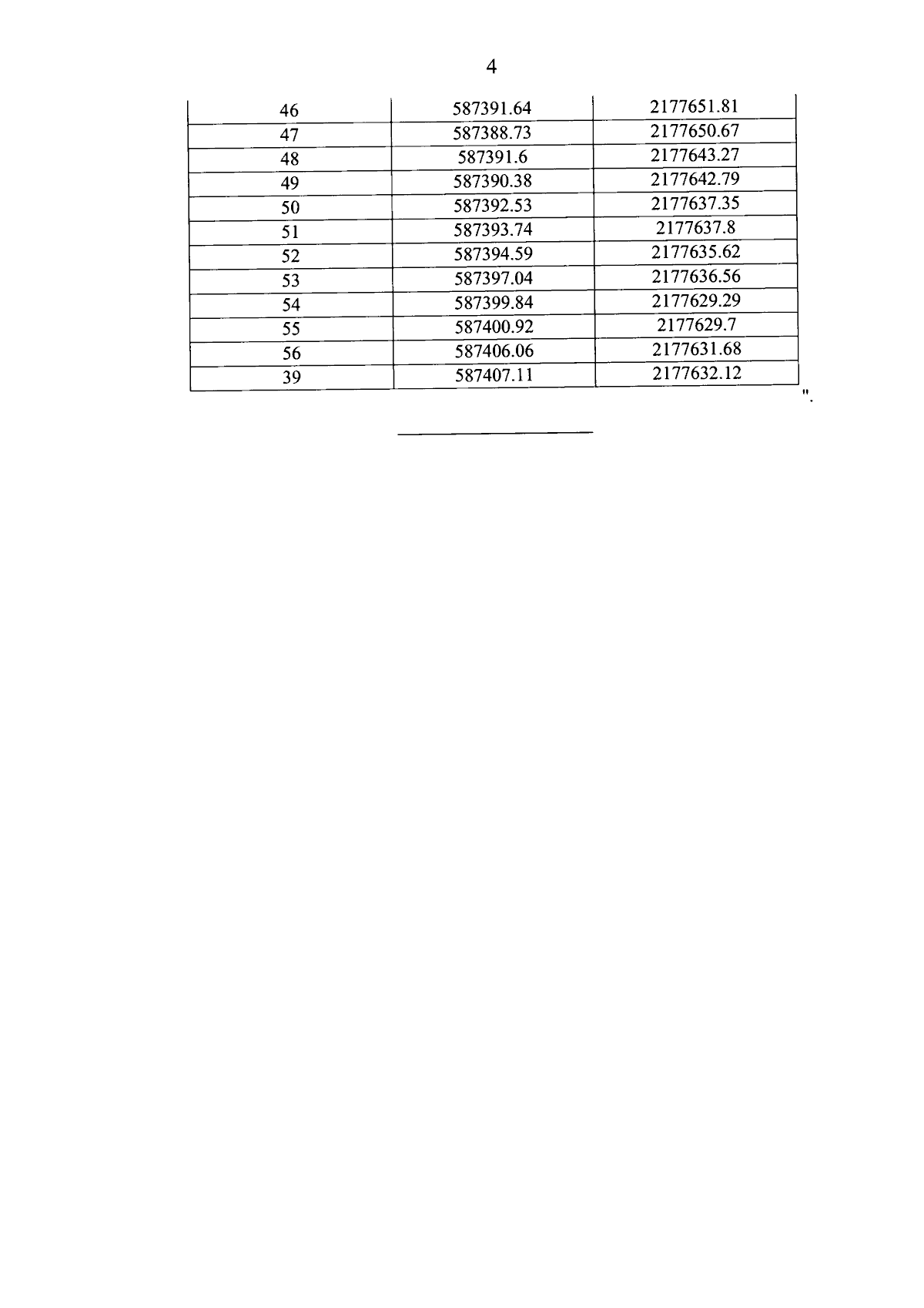
Приказ Управления государственной охраны объектов культурного наследия Нижегородской области от 04.04.2024 № 105
"О внесении изменений в приказ управления государственной охраны объектов культурного наследия Нижегородской области от 09.09.2020 № 260"
(Зарегистрирован 25.04.2024 № 25476-518-105)
Номер опубликования: 5201202404260003
Дата опубликования: 26.04.2024
Страница №5 из 5:
Увеличить