Официальное опубликование правовых актов
ОФИЦИАЛЬНОЕ ОПУБЛИКОВАНИЕ
Приказ Управления государственной охраны объектов культурного наследия Нижегородской области от 14.03.2024 № 75
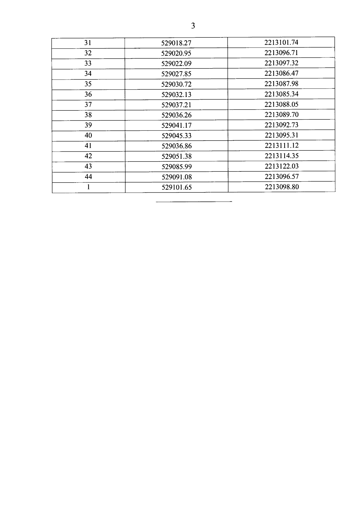
"Об утверждении границы и режима использования территории объекта культурного наследия регионального значения "Комплекс мукомольной мельницы Я.Е.Башкирова" (Нижегородская область, городской округ город Нижний Новгород, г. Нижний Новгород, ул. Интернациональная, 96а (литера А), 96 (литера М), 94 (литера А2), ул. Революционная, 49 (литера Б)"
(Зарегистрирован 01.04.2024 № 25320-518-075)
Номер опубликования: 5201202404030001
Дата опубликования: 03.04.2024
Страница №5 из 7:
Увеличить