Официальное опубликование правовых актов
ОФИЦИАЛЬНОЕ ОПУБЛИКОВАНИЕ
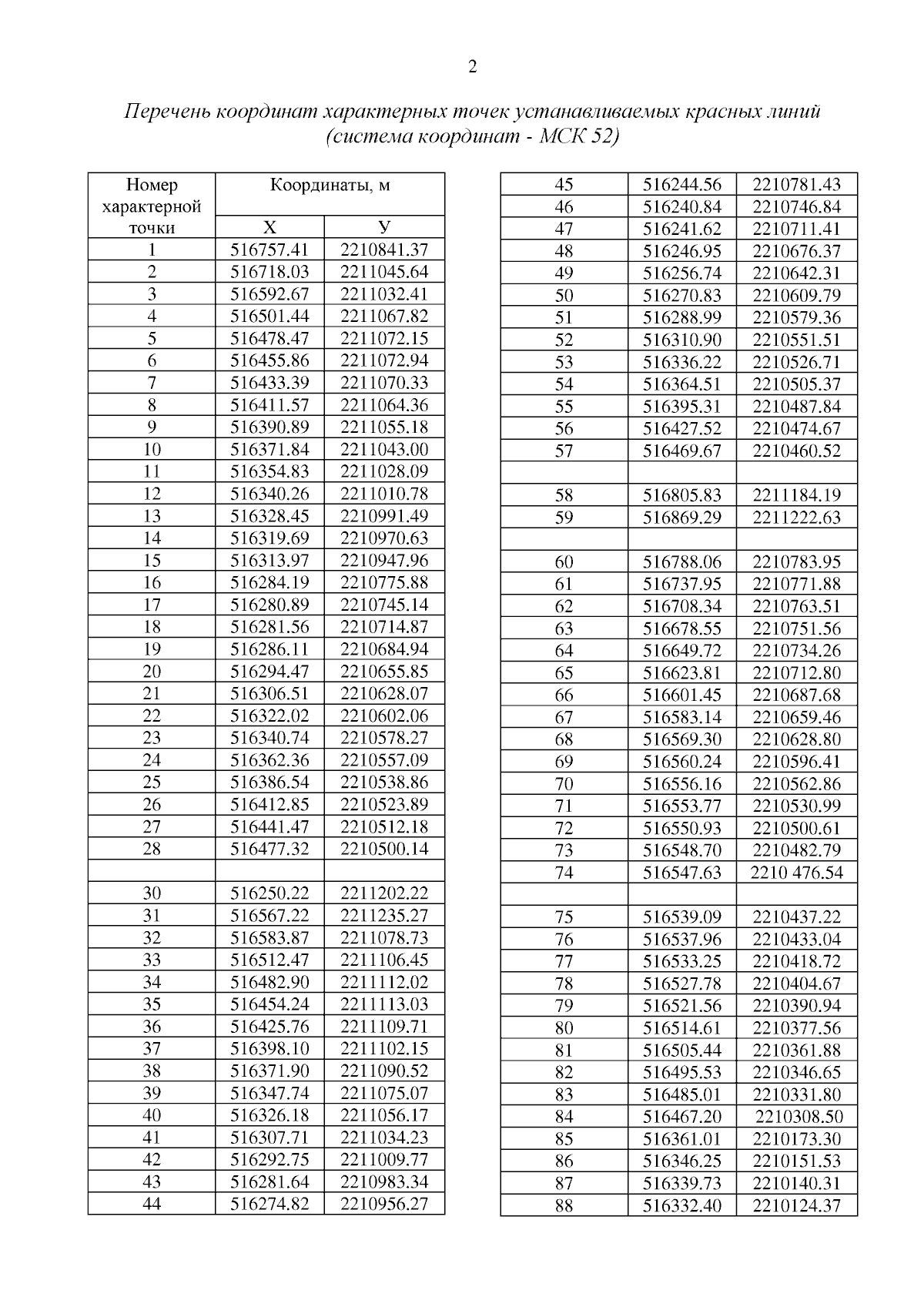
Приказ Министерства градостроительной деятельности и развития агломераций Нижегородской области от 02.02.2024 № 06-01-03/4
"Об утверждении документации по планировке территории, расположенной в п. Новинки Новинского сельсовета г.о.г. Нижний Новгород"
(Зарегистрирован 04.03.2024 № 25188-330-006-01-03/4)
Номер опубликования: 5201202403060002
Дата опубликования: 06.03.2024
Страница №4 из 117:
Увеличить