Официальное опубликование правовых актов
ОФИЦИАЛЬНОЕ ОПУБЛИКОВАНИЕ
Приказ Министерства экологии и природных ресурсов Нижегородской области от 31.12.2023 № 319-336/23П/од
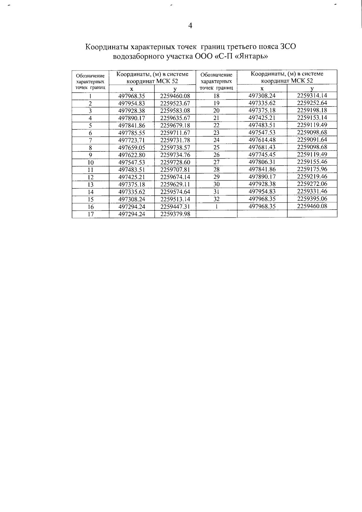
"Об установлении зон санитарной охраны водозаборного участка ООО "С - П "Янтарь", расположенного западнее с. Татинец Кстовского муниципального округа Нижегородской области"
(Зарегистрирован 25.01.2024 № 24969-319-319-336/23П/од)
Номер опубликования: 5201202401260002
Дата опубликования: 26.01.2024
Страница №6 из 6:
Увеличить