Официальное опубликование правовых актов
ОФИЦИАЛЬНОЕ ОПУБЛИКОВАНИЕ
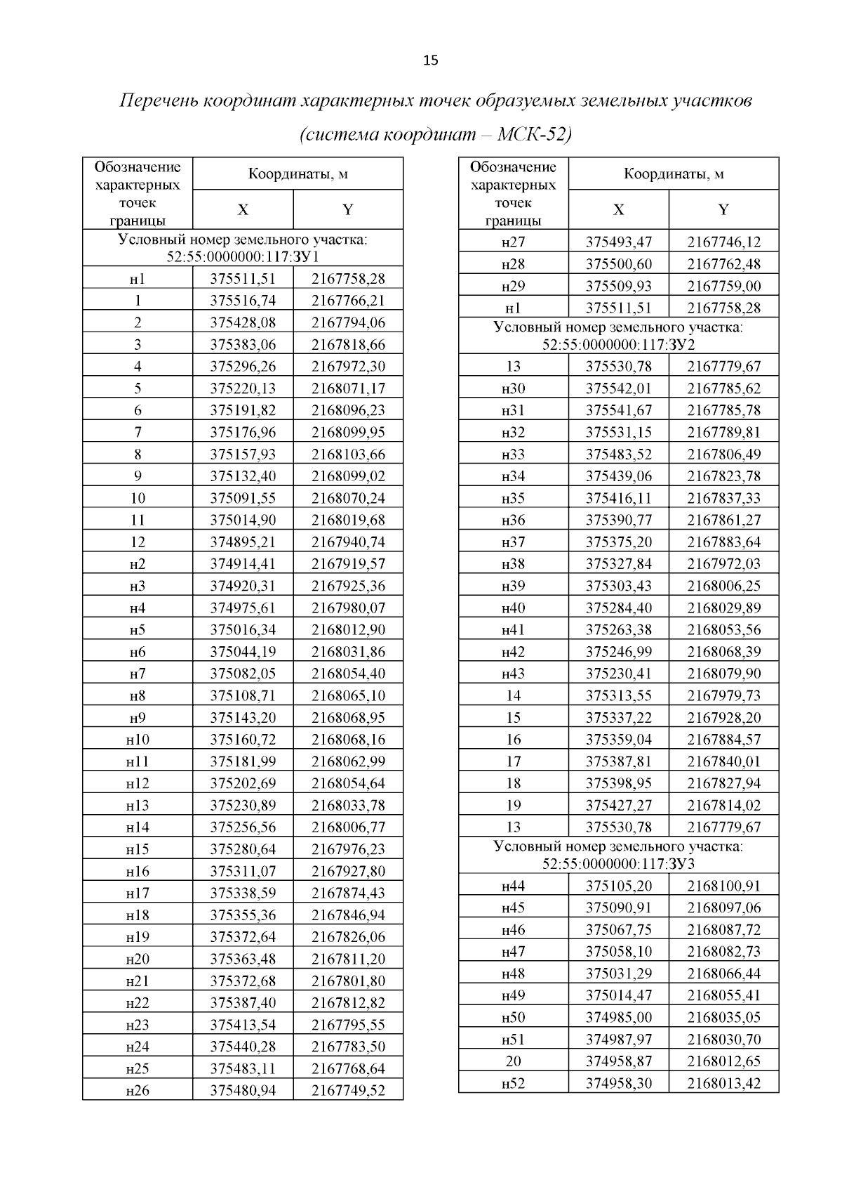
Приказ Министерства градостроительной деятельности и развития агломераций Нижегородской области от 30.11.2023 № 06-01-03/50
"Об утверждении документации по планировке территории, расположенной в районе автомобильной дороги (22 ОП МЗ 22Н-2115) Цыгановка - Новостройка - источник Серафима Саровского в Дивеевском муниципальном округе Нижегородской области"
(Зарегистрирован 09.01.2024 № 24871-330-006-01-03/50)
Номер опубликования: 5201202401120009
Дата опубликования: 12.01.2024
Страница №17 из 33:
Увеличить