Официальное опубликование правовых актов
ОФИЦИАЛЬНОЕ ОПУБЛИКОВАНИЕ
Приказ Министерства градостроительной деятельности и развития агломераций Нижегородской области от 29.11.2023 № 06-01-03/49
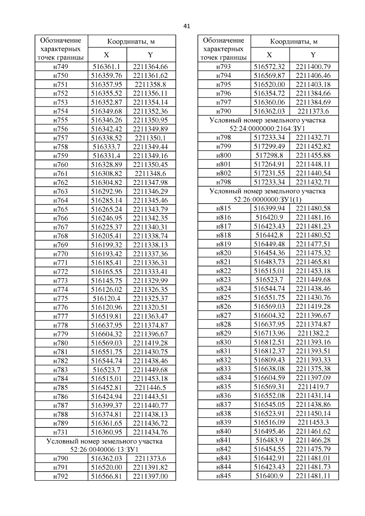
"Об утверждении документации по планировке территории, расположенной от автомобильной дороги Р-158 до автомобильной дороги 22 ОП РЗ 22К-0125 в городском округе город Нижний Новгород и Кстовском муниципальном округе Нижегородской области"
(Зарегистрирован 09.01.2024 № 24870-330-006-01-03/49)
Номер опубликования: 5201202401120002
Дата опубликования: 12.01.2024
Страница №43 из 47:
Увеличить