Официальное опубликование правовых актов
ОФИЦИАЛЬНОЕ ОПУБЛИКОВАНИЕ
Приказ Министерства градостроительной деятельности и развития агломераций Нижегородской области от 25.08.2023 № 06-01-03/26
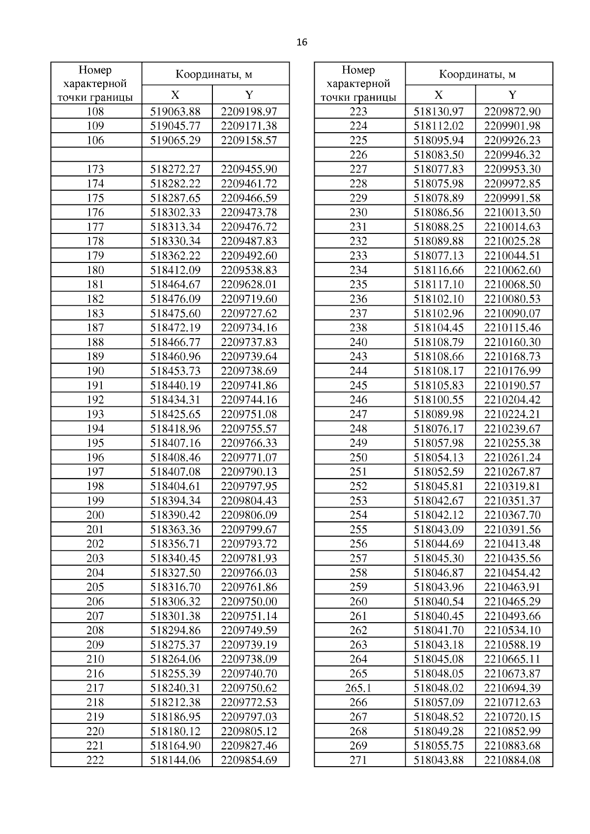
"Об утверждении документации по планировке территории, расположенной от автомобильной дороги 22 ОП РЗ 22К-0125 в Приокском районе и Новинском сельсовете до ул. Юлиуса Фучика в Автозаводском районе г.о.г. Нижний Новгород"
(Зарегистрирован 19.09.2023 № 23688-330-006-01-03/26)
Номер опубликования: 5201202309200004
Дата опубликования: 20.09.2023
Страница №18 из 292:
Увеличить