Официальное опубликование правовых актов
ОФИЦИАЛЬНОЕ ОПУБЛИКОВАНИЕ
Приказ Министерства экологии и природных ресурсов Нижегородской области от 02.08.2023 № 319-195/23П/од
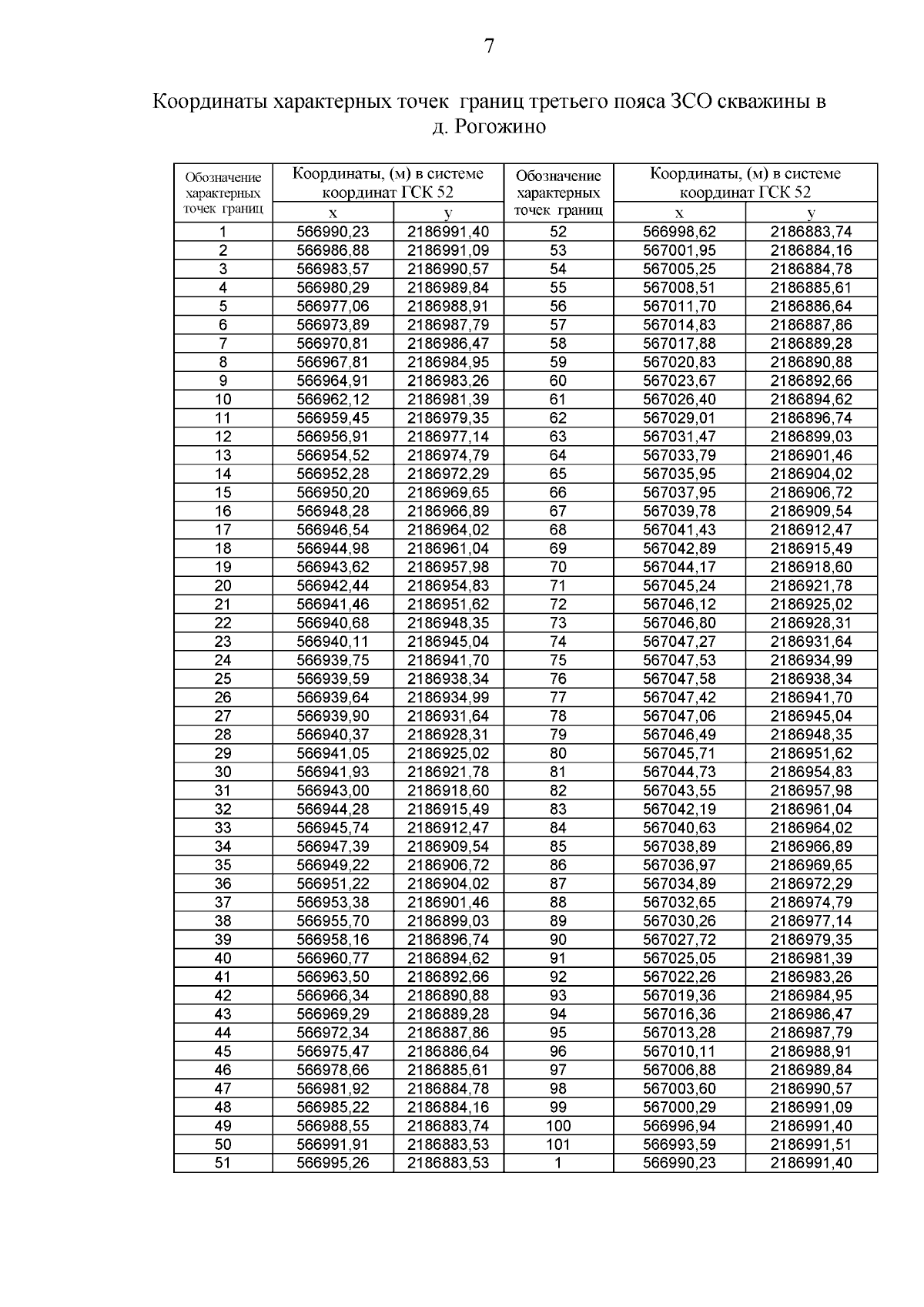
"Об установлении зон санитарной охраны подземных источников водоснабжения МУП "ЖКХ Кумохинское" в д. Рогожино, д. Серково Городецкого муниципального округа Нижегородской области"
(Зарегистрирован 31.08.2023 № 23592-319-319-195/23П/од)
Номер опубликования: 5201202309010002
Дата опубликования: 01.09.2023
Страница №9 из 11:
Увеличить