Официальное опубликование правовых актов
ОФИЦИАЛЬНОЕ ОПУБЛИКОВАНИЕ
Приказ Министерства экологии и природных ресурсов Нижегородской области от 09.08.2023 № 319-203/23П/од
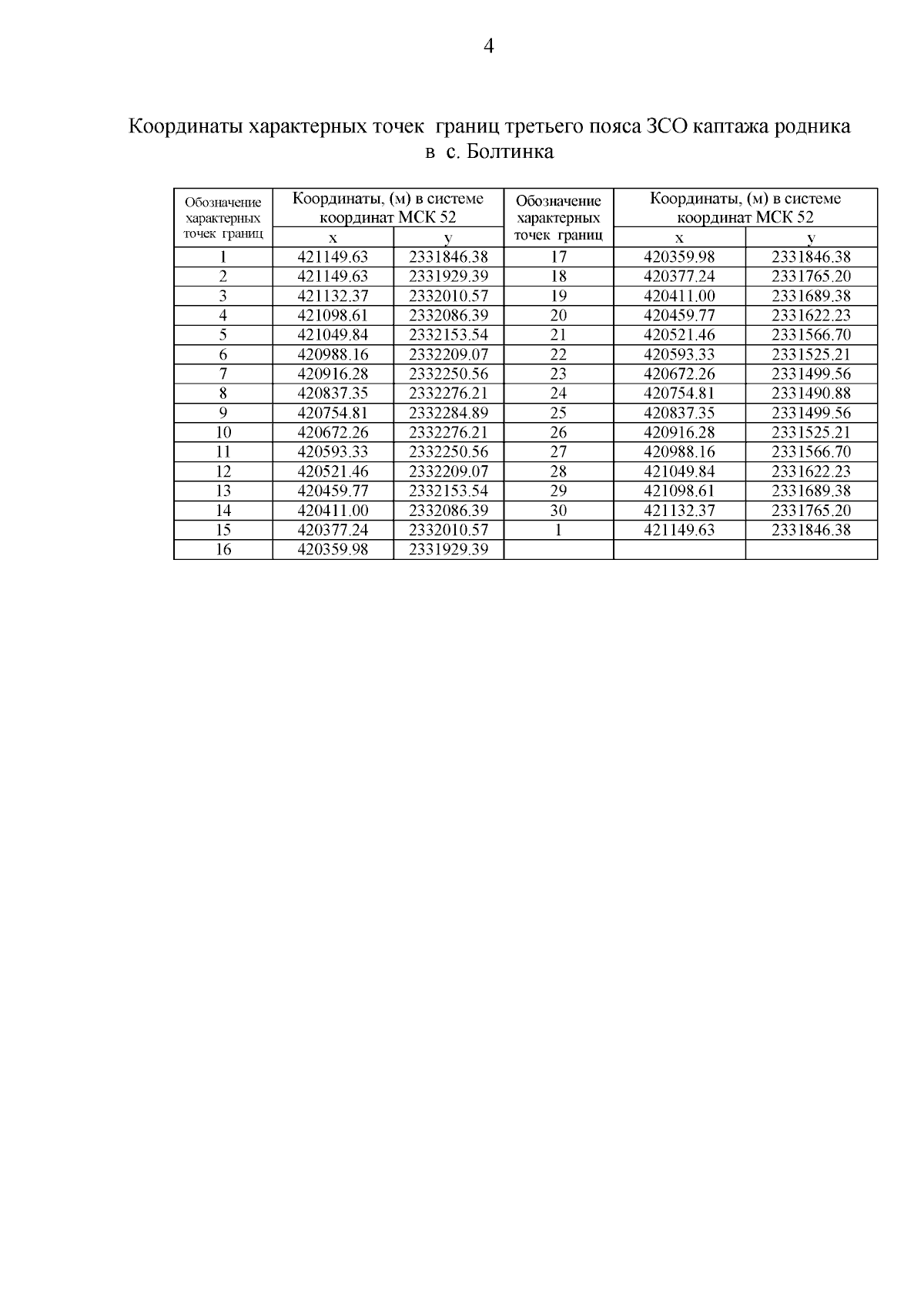
"Об установлении зоны санитарной охраны каптажа ООО "Родник", расположенного в северо-восточной части с. Болтинка Сеченовского муниципального округа Нижегородской области"
(Зарегистрирован 21.08.2023 № 23533-319-319-203/23П/од)
Номер опубликования: 5201202308240007
Дата опубликования: 24.08.2023
Страница №6 из 6:
Увеличить