Официальное опубликование правовых актов
ОФИЦИАЛЬНОЕ ОПУБЛИКОВАНИЕ
Приказ Министерства градостроительной деятельности и развития агломераций Нижегородской области от 04.08.2023 № 06-01-03/25
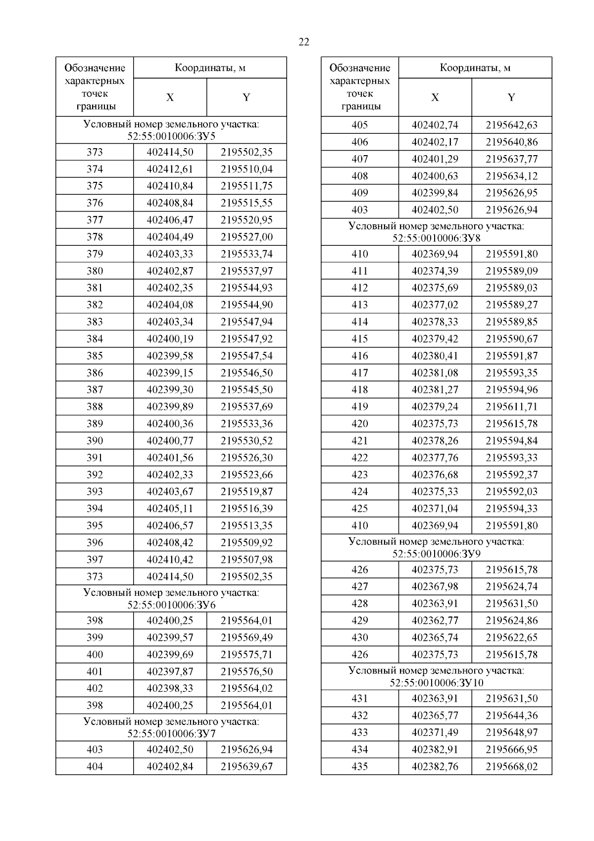
"Об утверждении документации по планировке территории участка автомобильной дороги (22 ОП МЗ 22Н-2108) Подъезд к с. Ичалово от а/д Выездное - Дивеево - Сатис в Дивеевском муниципальном округе"
(Зарегистрирован 22.08.2023 № 23556-330-006-01-03/25)
Номер опубликования: 5201202308240002
Дата опубликования: 24.08.2023
Страница №24 из 27:
Увеличить