Официальное опубликование правовых актов
ОФИЦИАЛЬНОЕ ОПУБЛИКОВАНИЕ
Приказ Министерства градостроительной деятельности и развития агломераций Нижегородской области от 06.07.2023 № 06-01-03/23
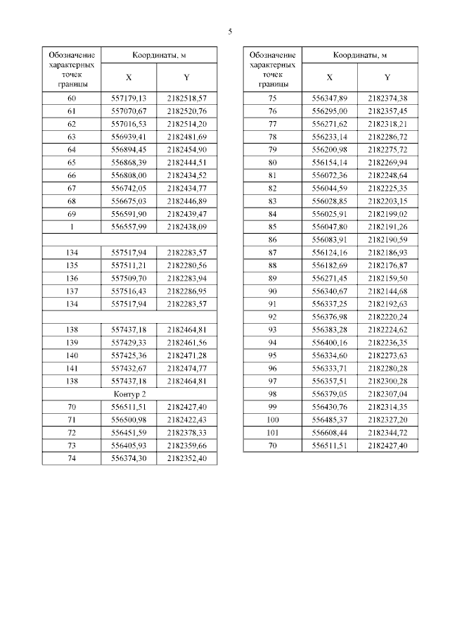
"Об утверждении документации по внесению изменений в проект межевания территории, расположенной к западу от г. Балахны в Балахнинском муниципальном округе Нижегородской области на землях, не относящихся к землям лесного фонда"
(Зарегистрирован 25.07.2023 № 23430-330-006-01-03/23)
Номер опубликования: 5201202307270009
Дата опубликования: 27.07.2023
Страница №7 из 8:
Увеличить