Официальное опубликование правовых актов
ОФИЦИАЛЬНОЕ ОПУБЛИКОВАНИЕ
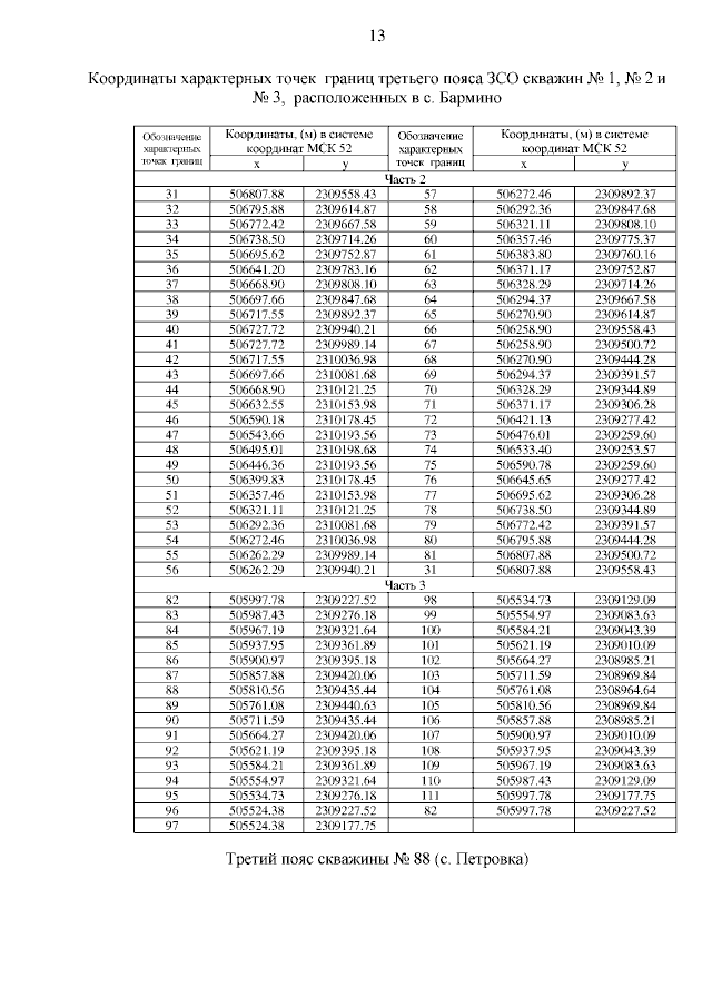
Приказ Министерства экологии и природных ресурсов Нижегородской области от 29.06.2023 № 319-165/23П/од
"Об установлении зон санитарной охраны водозаборных скважин МУП "ЖКХ Лысковского района", расположенных в c. Варганы, с. Бармино, с. Петровка, с. Красный Оселок Лысковского муниципального округа Нижегородской области"
(Зарегистрирован 11.07.2023 № 23323-319-319-165/23П/од)
Номер опубликования: 5201202307120009
Дата опубликования: 12.07.2023
Страница №15 из 17:
Увеличить