Официальное опубликование правовых актов
ОФИЦИАЛЬНОЕ ОПУБЛИКОВАНИЕ
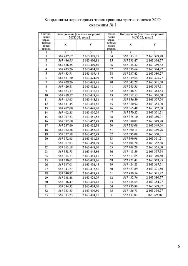
Приказ Министерства экологии и природных ресурсов Нижегородской области от 25.04.2023 № 319-99/23П/од
"Об установлении зон санитарной охраны водозабора МБУ ДО ДООЦ "Лесной" в 1,8 км севернее д. Круглово г.о.г. Чкаловск Нижегородской области"
(Зарегистрирован 03.05.2023 № 22971-319-319-99/23П/од)
Номер опубликования: 5201202305030008
Дата опубликования: 03.05.2023
Страница №6 из 9:
Увеличить