Официальное опубликование правовых актов
ОФИЦИАЛЬНОЕ ОПУБЛИКОВАНИЕ
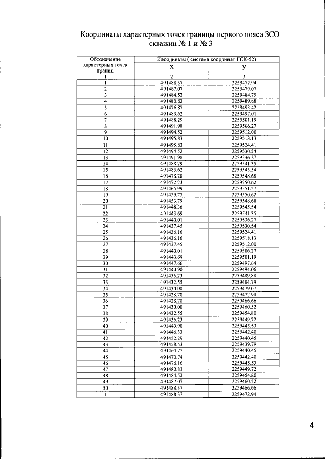
Приказ Министерства экологии и природных ресурсов Нижегородской области от 19.01.2023 № 319-9/23П/од
"Об установлении зон санитарной охраны водозаборного участка ООО "Чернышихинский мясокомбинат", расположенного в 2 км восточнее с. Чернышиха Кстовского муниципального округа Нижегородской области"
(Зарегистрирован 06.02.2023 № 22488-319-319-9/23П/од)
Номер опубликования: 5201202302080005
Дата опубликования: 08.02.2023
Страница №4 из 7:
Увеличить