Официальное опубликование правовых актов
ОФИЦИАЛЬНОЕ ОПУБЛИКОВАНИЕ
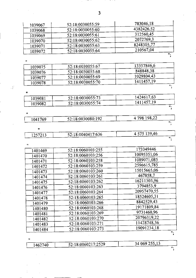
Приказ министерства имущественных и земельных отношений Нижегородской области от 17.01.2023 № 326-13-38889/23 "О внесении изменений в приказ министерства имущественных и земельных отношений Нижегородской области от 12 октября 2020 г. № 326-13-544129/20"
(Зарегистрирован 03.02.2023 № 22476-326-326-13-38889/23)
Номер опубликования: 5201202302030002
Дата опубликования: 03.02.2023
Страница №3 из 4:
Увеличить