Официальное опубликование правовых актов
ОФИЦИАЛЬНОЕ ОПУБЛИКОВАНИЕ
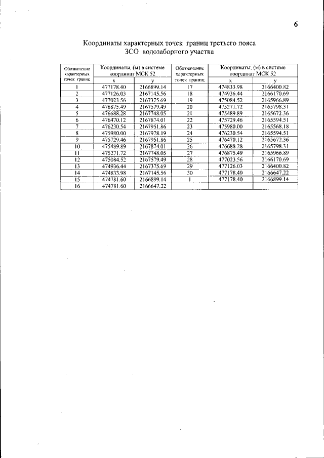
Приказ Министерства экологии и природных ресурсов Нижегородской области от 11.01.2023 № 319-2/23П/од "Об установлении зоны санитарной охраны водозаборного участка ООО "Сосновские родники", расположенного на роднике в 925 метрах юго-западнее д. Лачиново Сосновского муниципального округа Нижегородской области"
(Зарегистрирован 30.01.2023 № 22446-319-319-2/23П/од)
Номер опубликования: 5201202302010001
Дата опубликования: 01.02.2023
Страница №6 из 6:
Увеличить