Официальное опубликование правовых актов
ОФИЦИАЛЬНОЕ ОПУБЛИКОВАНИЕ
Приказ Министерства градостроительной деятельности и развития агломераций Нижегородской области от 27.12.2022 № 07-02-03/140
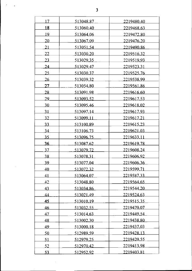
"Об утверждении документации по внесению изменений в проект межевания территории дома отдыха "Зеленый город" в к.п. Зеленый город города Нижнего Новгорода"
(Зарегистрирован 25.01.2023 № 22428-330-007-02-03/140)
Номер опубликования: 5201202301270014
Дата опубликования: 27.01.2023
Страница №5 из 8:
Увеличить