Официальное опубликование правовых актов
ОФИЦИАЛЬНОЕ ОПУБЛИКОВАНИЕ
Приказ Министерства экологии и природных ресурсов Нижегородской области от 29.12.2022 № 319-780/22П/од
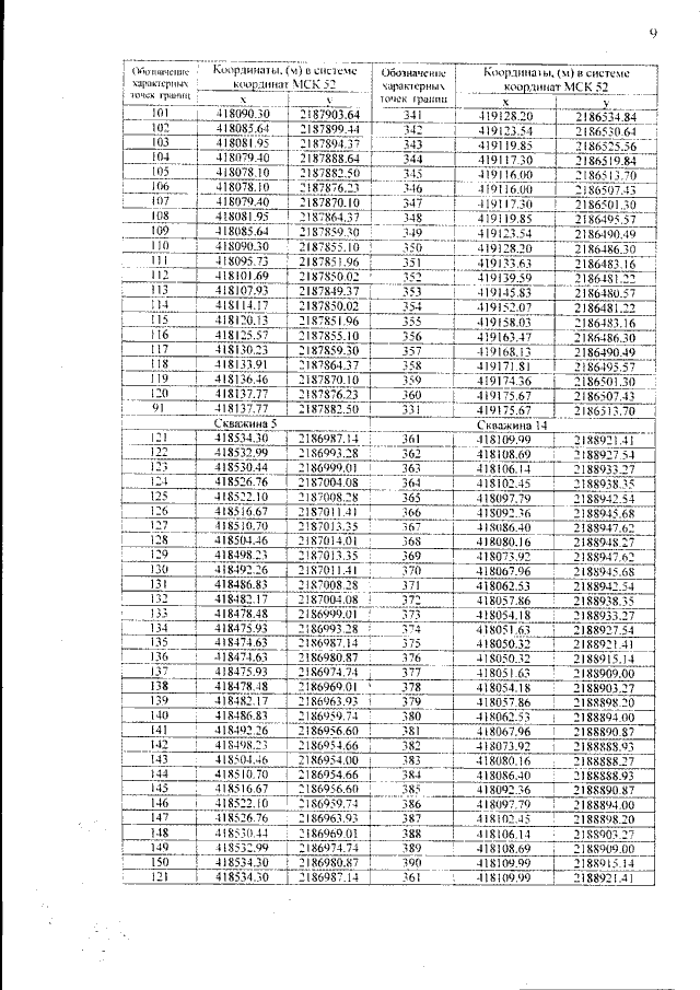
"Об установлении зон санитарной охраны водозаборного участка ООО "Арзамасский водоканал" (Слизневский водозабор подземных вод), расположенного около с. Слизнево г.о.г. Арзамас Нижегородской области"
(Зарегистрирован 23.01.2023 № 22394-319-319-780/22П/од)
Номер опубликования: 5201202301250005
Дата опубликования: 25.01.2023
Страница №9 из 15:
Увеличить