Официальное опубликование правовых актов
ОФИЦИАЛЬНОЕ ОПУБЛИКОВАНИЕ
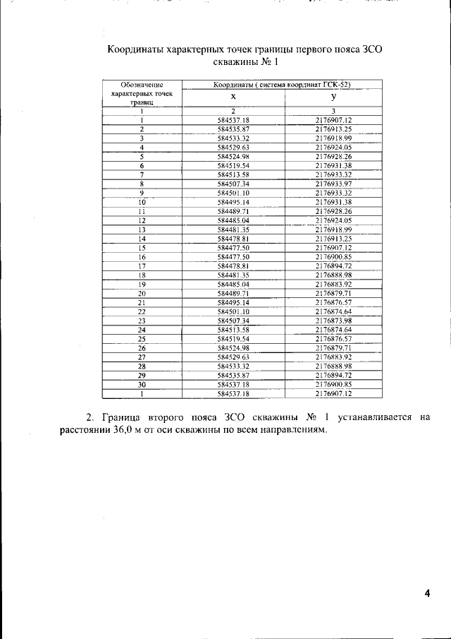
Приказ Министерства экологии и природных ресурсов Нижегородской области от 22.12.2022 № 319-763/22П/од
"Об установлении зон санитарной охраны водозаборного участка ООО СБ "МОРЕ СПОРТА", расположенного в восточной части д. Большой Суходол Городецкого муниципального округа Нижегородской области"
(Зарегистрирован 16.01.2023 № 22325-319-319-763/22П/од)
Номер опубликования: 5201202301190008
Дата опубликования: 19.01.2023
Страница №4 из 7:
Увеличить