Официальное опубликование правовых актов
ОФИЦИАЛЬНОЕ ОПУБЛИКОВАНИЕ
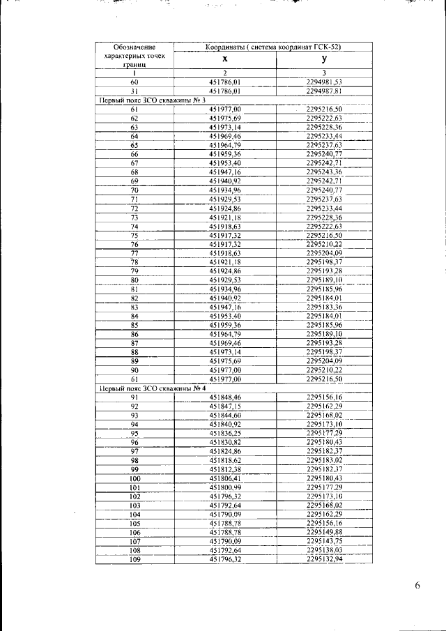
Приказ Министерства экологии и природных ресурсов Нижегородской области от 20.12.2022 № 319-753/22П/од
"Об установлении зон санитарной охраны водозаборного участка ООО "ПСП-2", расположенного западнее с. Толба Сергачского муниципального округа Нижегородской области"
(Зарегистрирован 16.01.2023 № 22322-319-319-753/22П/од)
Номер опубликования: 5201202301190005
Дата опубликования: 19.01.2023
Страница №6 из 11:
Увеличить