Официальное опубликование правовых актов
ОФИЦИАЛЬНОЕ ОПУБЛИКОВАНИЕ
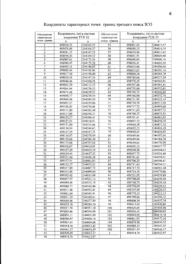
Приказ Министерства экологии и природных ресурсов Нижегородской области от 21.12.2022 № 319-759/22П/од
"Об установлении зон санитарной охраны водозабора подземных вод оздоровительного центра "Дзержинец" УФСБ России по Нижегородской области в с. Запрудное Кстовского муниципального округа Нижегородской области"
(Зарегистрирован 16.01.2023 № 22324-319-319-759/22П/од)
Номер опубликования: 5201202301190001
Дата опубликования: 19.01.2023
Страница №6 из 6:
Увеличить