Официальное опубликование правовых актов
ОФИЦИАЛЬНОЕ ОПУБЛИКОВАНИЕ
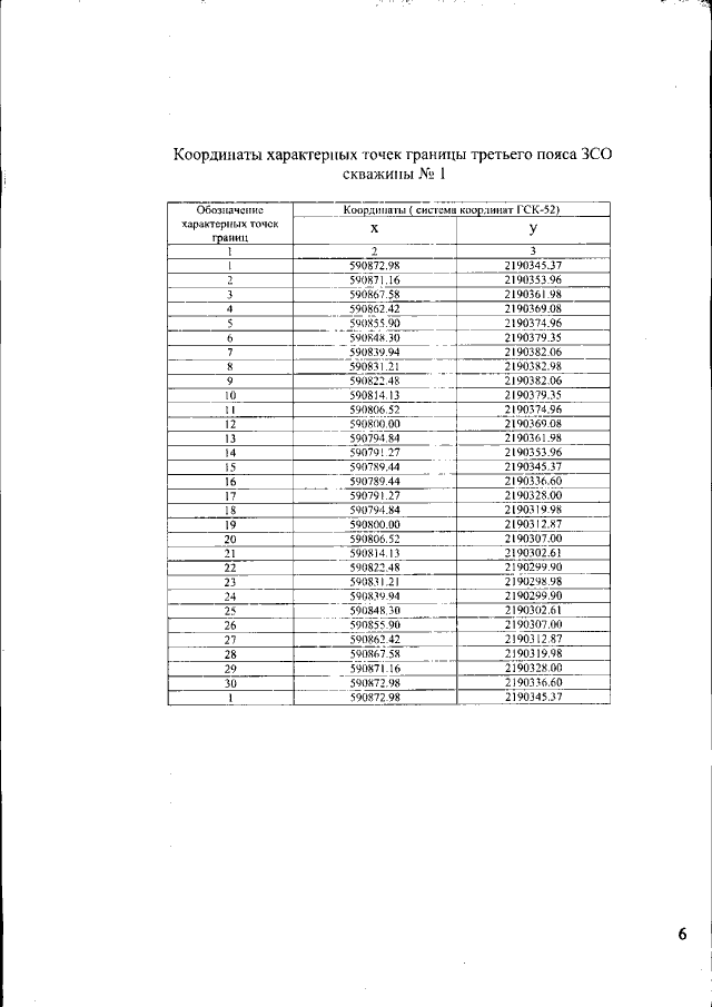
Приказ Министерства экологии и природных ресурсов Нижегородской области от 09.12.2022 № 319-739/22П/од "Об установлении зон санитарной охраны водозаборного участка МУП "ЖКХ "Северный", расположенного в д. Бурково Городецкого муниципального округа Нижегородской области"
(Зарегистрирован 26.12.2022 № 22251-319-319-739/22П/од)
Номер опубликования: 5201202212300002
Дата опубликования: 30.12.2022
Страница №6 из 6:
Увеличить