Официальное опубликование правовых актов
ОФИЦИАЛЬНОЕ ОПУБЛИКОВАНИЕ
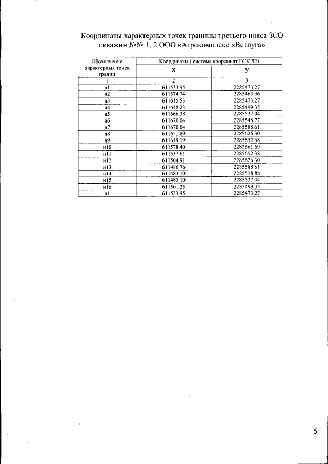
Приказ Министерства экологии и природных ресурсов Нижегородской области от 08.12.2022 № 319-734/22П/од "Об установлении зон санитарной охраны скважин №№ 1, 2 ООО "Агрокомплекс "Ветлуга", расположенных в 320 м северо-восточнее д. Удельная Чащиха Краснобаковского муниципального округа Нижегородской области"
(Зарегистрирован 26.12.2022 № 22248-319-319-734/22П/од)
Номер опубликования: 5201202212300001
Дата опубликования: 30.12.2022
Страница №5 из 5:
Увеличить