Официальное опубликование правовых актов
ОФИЦИАЛЬНОЕ ОПУБЛИКОВАНИЕ
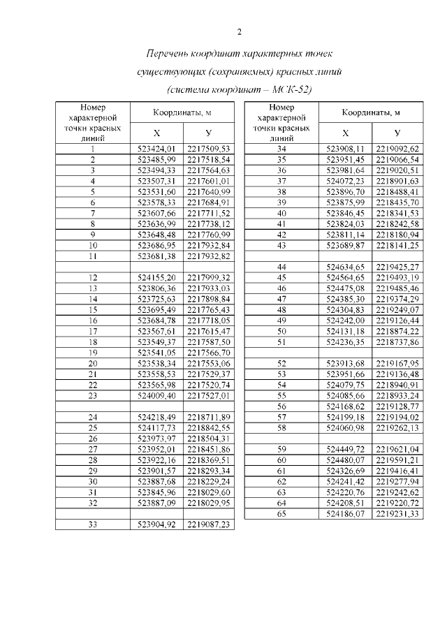
Приказ Министерства градостроительной деятельности и развития агломераций Нижегородской области от 06.10.2022 № 06-01-03/54
"Об утверждении документации по внесению изменений в проект планировки и межевания территории, расположенной южнее д. Кузнечиха в Советском районе города Нижнего Новгорода"
(Зарегистрирован 26.10.2022 № 21226-330-006-01-03/54)
Номер опубликования: 5201202210310002
Дата опубликования: 31.10.2022
Страница №4 из 27:
Увеличить